
Johns Hopkins University (JHU) continues to pad its space community résumé with their interactive map, “The map of the observable Universe”, that takes viewers on a 13.7-billion-year-old tour of the cosmos from the present to the moments after the Big Bang. While JHU is responsible for creating the site, additional contributions were made by NASA, the European Space Agency, the National Science Foundation, and the Sloan Foundation.
: Visit our sponsor, Brilliant Black Holes are amongst the most destructive things in the Universe, but it may be that properly utilized, they might be the best places in the galaxy to live around in the future, and possibly right here in our own solar system too. Check out the Paperclip Maximizer: A HREF="https://www.amazon.com/Universe-Today-Ultimate-Viewing-Cosmos/dp/1624145442/">Our Book is out! Audio Podcast version: ITunes: RSS: Sign up to my weekly email newsletter: Support us at:Support us at: Follow us on Tumblr: : More stories at Follow us on Twitter: @universetoday Like us on Facebook: SFIA Discord Server: Instagram - Listen or Download the audio of this episode from Soundcloud: Episode's Audio-only version: Episode's Narration-only version: Credits: Outward Bound: Colonizng Black Holes Episode 187, Season 5 E21 Written by: Isaac Arthur Jerry Guern Editors: Darius Said Keith Blockus Matthew Acker S. Kopperud Cover Art: Jakub Grygier Graphics by: Fishy Tree Bryan Versteeg Jeremy Jozwik Justin Dixon Sergio Botero Ken York Produced & Narrated by: Isaac Arthur Music Manager: Luca DeRosa - lucaderosa2@live.com Music: Markus Junnikkala, "Hail the Victorious Dead" Aerium, "The islands moved while I was asleep" Lombus, "Amino" Stellardrone, "Ultra Deep Field" Kai Engel, "Endless Story About Sun and Moon" Evan King, "Singularity"
<>
I spoke to some of the world's leading experts in black hole physics about the future fo the field and how we might test exotic new ideas and probe the deepest secrets of nature. This was all filmed at the black holes inside and out conference in Copenhagen. A timeline is below: 00:00 2:42 Future of EHT(Event Horizon Telescope) 4:17 LIGoO 5:58 Ringdown signal 6:40 Future ground-based detectors, Einstein telescope, and Cosmic Explorer 9:27 LISA, the space-based detector 11:00 Resolving the Hubble tension with standard sirens 13:154 black holes and the early universe 14:14 pulsar timing arrays 14:39 After LISA 15:32 Atom interferometers 17:00 Back to the moon 17:40 Quantum gravity in the lab 19:57 Is the 3rd law wrong? 24:31 Testing GR with black hole spectroscopy 27:00 holography 28:12 smartholes 29:10 information paradox 34:15 quantum black holes 35:21 black hole echoes 35:57 singularity resolution 38:42 loopy black holes 40:20 Stringy black holes 42:12 Putting it to the test
<>
Mar 26, 2026 #Astrum #Space #Pevatron Scientists are hunting for PeVatrons, the most powerful objects in the Universe. Join the adventure : with Alex and discover more from DwarfLab at And don't forget to use the code ASTRUM5 for 5% off! ▀▀▀▀▀▀ For decades, we’ve been detecting super high energy cosmic rays from deep space, but we have no idea where they come from. These particles move so fast, they would need a QUADRILLION electron volts of energy to produce them. What in the Universe could be this powerful? ▀▀▀▀▀▀ 0:00 Cosmic Rays 4:20 Large High Altitude Air Shower Observatory 9:03 PeVatrons 11:30 Supernova Remnants 13:56 Pulsars 15:40 Black Holes 17:23 Crab Nebula 19:59 Cygnus OB2 21:28 Cygnus X-3 23:23 Hunting PeVatrons ▀▀▀▀▀▀ Sign up here: Astrum's newsletter has launched! Want to know what's happening in space? Astrum Displate Posters: Astrum Merch: Join us on the Astrum discord: / discord A huge thanks to our Patreons who help make these videos possible. Sign-up to our Patreon for early access to Astrum Earth content: ▀▀▀▀▀▀ Astrum Podcast on Spotify: Astrum Earth: / @astrumearth Astrum Extra: / @astrumextra Astrum Spanish: Astrum Portuguese:/ @astrumbrasil ▀▀▀▀▀▀ References: “Cosmic Rays”, via ucdavis.edu “The Discovery of Cosmic Rays”, via cern.ch "The Knee in the Cosmic Ray Spectrum”, via arxiv.org “The LHAASO Observatory”, via arxiv.org “LHAASO PeVatron Discovery”, via cas.cn “The Hunt for PeVatrons”, via nature.com “Supernova Remnants as Accelerators”, via iop.org “Gamma Ray Emission From the Crab Nebula”, via iop.org “Quadrillion-Volt Pulsars as PeVatrons”, via harvard.edu “Cygnus X-3: Gamma Ray Accelerator”, via arxiv.org ▀▀▀▀▀▀ Credits: Writer: Edie Abraham Video Editor: Suhith Researcher: Shourya Shrivastava Script Editor: Damaris McColgan Thumbnail Designer: Peter Sheppard Publishing Lead: Georgina Brenner Production Manager: Raquel Taylor Edit Producer: Poppy Pinnock Head of Astrum: Jess Jordan Creator of Astrum: Alex McColgan With special thanks to: Prof. Zhen Cao NASA/ESO/ESA #Astrum #Space #Pevatron AI-generated video summary Quality and accuracy may vary. Earth is under constant barrage from high-energy cosmic rays, but their origins have remained a mystery for over a century. New observatories are finally tracking these elusive particles to extreme cosmic objects. Discover the innovative technology used to identify these massive sources of power within the Milky Way.
Max Planck Institute for Gravitational Physics 3.07K subscribers Join us on a journey into the depths of our Galaxy! Our Milky Way is home to hundreds of billions of stars. Roughly one star out of a few thousand is very special: It is a neutron star. Rapidly rotating neutron stars produce ripples in space-time: continuous gravitational waves. Detecting these waves will be a new tool for astrophysical observations. *Don't forget to activate the subtitles!* Learn more about our research: Join Einstein@Home: Credit: M.A. Papa, MPI for Gravitational Physics, Hannover
ESA's INTEGRAL MISSION
Members first on December 4, 2025 Mavericks I Modern Giants of Science Meet Sabrina Pasterski, the theoretical physicist often dubbed the "Next Einstein" who famously built and flew her own airplane at age 14. In this video, we explore how she went from a garage mechanic to a Harvard Ph.D. whose work on Celestial Holography was cited by Stephen Hawking. This biography covers the incredible journey of a first-generation Cuban-American who graduated from MIT with a perfect 5.00 GPA—the first woman to top the program in two decades. We discuss why she turned down job offers from Jeff Bezos’ Blue Origin and NASA to pursue the fundamental laws of nature. We also break down the complex science behind her research. From the PSZ Triangle to the Spin Memory Effect, learn how Pasterski is attempting to unify General Relativity and Quantum Mechanics through the radical concept that our universe is a hologram projected on the night sky. Whether you are interested in aviation, quantum gravity, or the future of women in STEM, Sabrina’s story is a testament to curiosity and hard work. TIMESTAMPS 00:00 - Introduction: The "Next Einstein" Label 04:15 - Rejection & Redemption: Getting into MIT 06:45 - The Pivot: From Engineering to Theoretical Physics 09:10 - The Stephen Hawking Citation 16:30 - The Digital Ghost: Why She Has No Social Media 18:45 - Future of Physics Explore science like never before - accessible, thrilling, and packed with awe-inspiring moments. Fuel your curiosity with 100s of free, curated STEM audio shows . Download The Turing App on the Apple App Store, Google Play Store or listen at

No Escape: Dive Into a Black Hole (Infographic) by Karl Tate - When matter is compressed beyond a certain density,
a black hole is created. It is called black because no light can escape from it. Some black holes are the tombstones
of what were once massive stars. An enormous black hole is thought to lurk at the center of the Milky Way galaxy.
Universe@Home: A synthetic black hole database published! With a bit of delay, we would like to announce a publication of the first synthetic database including both black holes in binaries, i.e. with gravitationally bound companion stars, and those which exist as single objects. The latter might have formed from massive single stars (at least twenty times more massive than the Sun) or, more probably, as a result of binary disruptions and stellar mergers. This study is a starting point for other more in-depth analysis of black hole populations in the Milky Way and other galaxies. You can find the publication here

Artist’s view of a black hole-powered blazar (a type of quasar) lighting up the center of a remote galaxy.
As matter falls toward the supermassive black hole at the galaxy’s center, some of it is accelerated outward at nearly
the speed of light along jets pointed in opposite directions. When one of the jets happens to be aimed in the direction
of Earth, as illustrated here, the galaxy appears especially bright and is classified as a blazar.
Credits: M. Weiss/CfA

An illustration of the binary black hole system, OJ 287, showing the massive black hole surrounded by an accretion disk.
A second, smaller black hole is believed to orbit the larger. When it intersects the larger’s disk coming and going,
astronomers see a pair of bright flares. The predictions of the model are verified by observations.
Credit: University of Turku

Long exposures made with the Hubble Space Telescope showing brilliant quasars flaring in the hearts of six distant galaxies.
Credit: NASA/ESA
These 15 images from the Sloan Digital Sky Survey show merging pairs of galaxies. A supermassive black hole lies in the brightest portion of each galaxy: its nucleus. Within this sample, astronomers have identified several pairs and two trios of actively feeding black holes. Pfeifle et al., ApJ, Volume 875, Issue 2, i.d. 117, 2019 Astronomers know that nearly all large galaxies host a supermassive black hole millions or billions times the mass of our Sun in their center. Some, like the monster in the middle of the Milky Way, are quiescent, feeding from only sparse clouds of gas and dust in a small region of space around them. But some are active, sucking down vast wells of material. These active galactic nuclei, or AGN, are common throughout the universe, and astronomers have just found more — but this new set is special. On June 28 2019, Ryan Pfeifle of George Mason University presented a set of eight previously unknown dual or triple AGN at the annual meeting of the European Astronomical Society. These are merging galaxies in which the supermassive black holes in each of the participating galaxies are all actively feeding on material from their surroundings. Pfeifle’s team found these pairs and trios using data from NASA’s Wide-Field Infrared Survey Explorer (WISE) telescope and Chandra X-ray Observatory, as well as the European Space Agency’s XMM-Newton X-ray telescope. Their work was published earlier this year in the April 23 edition of The Astrophysical Journal.

Illustration of a gradually precessing orbit similar to the precessing orbit of the smaller smaller black hole
orbiting the larger in OJ 287. Credit: Willow W / Wikipedia

OJ 287 has been fluctuating around 13.5-140 magnitude lately. You can spot it in a 10-inch
or larger scope in Cancer not far from the Beehive Cluster. Click the image for a detailed AAVSO finder chart.
Diagram: Bob King, source: Stellarium

A supermassive black hole has been found in an unusual spot: an isolated region of space
where only small, dim galaxies reside.
Image credit: NASA/JPL-Caltech

In this artist’s rendering, a thick accretion disc has formed around a supermassive black hole
following the tidal disruption of a star that wandered too close. Stellar debris has fallen toward the black hole
and collected into a thick chaotic disc of hot gas. Flashes of X-ray light near the centre of the disc result in light echoes
that allow astronomers to map the structure of the funnel-like flow, revealing for the first time strong gravity effects
around a normally quiescent black hole.
Illustration credits: NASA/Swift/Aurore Simonnet, Sonoma State University.

Parallel universes - Black Hole connected to a theoretical White Hole.
- If the theoretical science is correct, there are an infinite number of universes
with same situations and different outcomes, do you believe?
This artist’s illustration depicts the aftermath of a neutron star merger, including the generation of a Gamma-ray burst (GRB).
In the centre is a compact object — either a black hole or a massive neutron star — and in red is a disc of material
left over from the merger, containing material falling towards the compact object. Energy from this infalling material drives the GRB
jet shown in yellow. In orange is a wind of particles blowing away from the disc and in blue is material ejected from the compact object
and expanding at very high speeds of about one-tenth the speed of light.
Illustration credit: NASA/CXC/M.Weiss.

Detection of an unusually bright X-Ray flare from Sagittarius A*, a supermassive black hole in the center of the Milky Way galaxy. Credit: NASA/CXC/Stanford/I. Zhuravleva et al.
Super-Massive Black Holes (SMBH) are hard to explain. These gargantuan singularities are thought to be at the center of every large galaxy (our Milky Way has one) but their presence there sometimes defies easy explanation. As far as we know, black holes form when giant stars collapse. But that explanation doesn’t fit all the evidence.
This artist’s impression shows the surroundings of a supermassive black hole, typical of that found at the heart of many galaxies. The black hole itself is surrounded by a brilliant accretion disc of very hot, infalling material and, further out, a dusty torus. There are also often high-speed jets of material ejected at the black hole’s poles that can extend huge distances into space. Image Credit: By ESO/L. Calçada – ESO website, CC BY 4.0, WIKIPEDIA ARTICE
he SMBH in this Subaru Telescope image is 13.05 billion light years from Earth. These ancient SMBHs have challenged our understanding of how black holes form. Image Credit: National Astronomical Observatory of Japan (NAOJ).
National Astronomical Observatory of Japan (NAOJ)

A trio of X-ray observatories has captured a decade-long eating binge by a black hole almost two billion light years away. Credit: X-ray: NASA/CXC/UNH/D.Lin et al, Optical: CFHT, Illustration: NASA/CXC/M.Weiss.
Published on Feb 6, 2017 Black holes are extremely compact and dense, generating incredibly powerful gravitational forces. When an object, like a star, wanders too close, these forces can rip that object to pieces. Some of the material from the doomed object is hurtled out into space. The black hole devours the rest. Astronomers just found a black hole gnawing on the remains of a star for over ten years. This is the largest meal, or the first clean-your-plate job, for a black hole ever seen. Category Science & Technology License Standard YouTube License

This artist's impression depicts a white dwarf star found in the closest known orbit around a black hole. As the circle around each other, the black hole's gravitational pull drags material from the white dwarf's outer layers toward it. Astronomers found that the white dwarf in X9 completes one orbit around the black hole in less than a half an hour. They estimate the white dwarf and black hole are separated by about 2.5 times the distance between the Earth and Moon — an extraordinarily small span in cosmic terms. (Credit: NASA/CXC/M.Weiss)

Astronomers found an extraordinarily close stellar pairing in the globular cluster 47 Tucanae, a dense collection of stars located on the outskirts of the Milky Way galaxy, about 14,800 light years from Earth. Credit: X-ray: NASA/CXC/University of Alberta/A.Bahramian et al.

Stars circle 'round the Milky Way central supermassive black hole. Credit: ESO

The Milky Way’s supermassive black hole, called Sagittarius A* (or Sgr A*), is arrowed in the image made of the innermost galactic center in X-ray light by NASA’s Chandra Observatory. To the left or east of Sgr A* is Sgr A East, a large cloud that may be the remnant of a supernova. Centered on Sgr A* is a spiral shaped group of gas streamers that might be falling onto the hole. Credit: NASA/CXC/MIT/Frederick K. Baganoff et al.

This time-lapse movie in infrared light shows how stars in the central light-year of the Milky Way have moved over a period of 14 years. The yellow mark at the image center represents the location of Sgr A*, site of an unseen supermassive black hole. Credit: A. Eckart (U. Koeln) & R. Genzel (MPE-Garching), SHARP I, NTT, La Silla Obs., ESO

On September 14, 2013, astronomers caught the largest X-ray flare ever detected from Sgr A*, the supermassive black hole at the center of the Milky Way, using NASA’s Chandra X-ray Observatory. This event was 400 times brighter than the usual X-ray output from the source and was possibly caused when Sgr A*’s strong gravity tore apart an asteroid in its neighborhood, heating the debris to X-ray-emitting temperatures before slurping down the remains.The inset shows the giant flare. Credit: NASA
Published on Oct 20, 2012 An international team of astronomers, lead by researchers at the Max-Planck Institute for Extraterrestrial Physics (MPE), has directly observed an otherwise normal star orbiting the supermassive black hole at the center of the Milky Way Galaxy. Ten years of painstaking measurements have been crowned by a series of unique images obtained by the Adaptive Optics (AO) NAOS-CONICA (NACO) instrument on the 8.2-m VLT YEPUN telescope at the ESO Paranal Observatory. It turns out that earlier this year the star approached the central Black Hole to within 17 light-hours - only three times the distance between the Sun and planet Pluto - while travelling at no less than 5000 km/sec . In a break-through paper appearing in the research journal Nature on October 17th, 2002, the present team reports their exciting results, including high-resolution images that allow tracing two-thirds of the orbit of a star designated "S2" . It is currently the closest observable star to the compact radio source and massive black hole candidate "SgrA*" ("Sagittarius A") at the very center of the Milky Way. The orbital period is just over 15 years. The new measurements exclude with high confidence that the central dark mass consists of a cluster of unusual stars or elementary particles, and leave little doubt of the presence of a supermassive black hole at the centre of the galaxy in which we live . ESO Press Video eso0226 was produced by the Max-Planck-Society and shows the observed motions of S2 and other stars in this area. Credit: ESO Category Science & Technology License Standard YouTube License
Published on Feb 11, 2016 A computer simulation shows the collision of two black holes, a tremendously powerful event detected for the first time ever by the Laser Interferometer Gravitational-Wave Observatory, or LIGO. LIGO detected gravitational waves, or ripples in space and time generated as the black holes spiraled in toward each other, collided, and merged. This simulation shows how the merger would appear to our eyes if we could somehow travel in a spaceship for a closer look. It was created by solving equations from Albert Einstein's general theory of relativity using the LIGO data. The two merging black holes are each roughly 30 times the mass of the sun, with one slightly larger than the other. Time has been slowed down by a factor of about 100. The event took place 1.3 billion years ago. The stars appear warped due to the incredibly strong gravity of the black holes. The black holes warp space and time, and this causes light from the stars to curve around the black holes in a process called gravitational lensing. The ring around the black holes, known as an Einstein ring, arises from the light of all the stars in a small region behind the holes, where gravitational lensing has smeared their images into a ring. The gravitational waves themselves would not be seen by a human near the black holes and so do not show in this video, with one important exception. The gravitational waves that are traveling outward toward the small region behind the black holes disturb that region’s stellar images in the Einstein ring, causing them to slosh around, even long after the collision. The gravitational waves traveling in other directions cause weaker, and shorter-lived sloshing, everywhere outside the ring. This simulation was created by the multi-university SXS (Simulating eXtreme Spacetimes) project. For more information, visit Image credit: SXS Category Science & Technology License Creative Commons Attribution license (reuse allowed) Source videos View attributionse
ON SEPT. 14, 2015, at almost the exact same time that a pair of sprawling gravitational-wave detectors heard the last gasp of a collision between two black holes, another, more perplexing observation took place. Over 500 kilometers above the surface of the Earth, the orbiting Fermi Gamma-Ray Space Telescope logged a passing burst of gamma rays, a high-energy form of light. The signal was so slight that the NASA scientists who run the satellite didn’t notice it at first.

Close-up of star near a supermassive black hole (artist’s impression). Credit: ESA/Hubble, ESO, M. Kornmesser

This artist’s impression depicts a rapidly spinning supermassive black hole surrounded by an accretion disc. Credit: ESA/Hubble, ESO, M. Kornmesse
This animation shows how the ASASSN-15lh most likely happened. A Sun-like star gets into the area of influence of a rapidly spinning supermassive black hole in the centre of a distant galaxy. While its orbit gets constantly closer to the black hole the star gets “spaghettified”, creating an accretion disc around the supermassive black hole. When it finally gets ripped apart close to the event horizon it creates a bright flash, that could resemble a superluminous supernova. More information and download options for this video ESA's Video dierectory page Credit: ESA/Hubble, ESO, M. Kornmesser Category Science & Technology License Standard YouTube License
This simulation shows a star getting torn apart by the gravitational tides of a supermassive black hole. The star gets “spaghettified” and after several orbits creates an accretion disc. Scientists believe that the superluminous ASASSN-15lh event happened like that. More information and download options for this video ESA's Video dierectory page Credit: ESA/Hubble, ESO, N. Stone, K. Hayasaki Category Science & Technology License Standard YouTube License

While black holes with masses of a few suns and ones with masses of millions of suns exist, scientists have been puzzled to see few with masses in between those two extremes. New work may suggest a reason why. Credit: Ute Kraus/Wikipedia, CC BY-SA


Artist’s impression of ULAS J1120+0641, a very distant quasar powered by a black hole with a mass two billion times that of the Sun. Credit: ESO/M. Kornmesser Ever since the discovery of Sagittarius A* at the center of our galaxy, astronomers have come to understand that most massive galaxies have a Supermassive Black Hole (SMBH) at their core. These are evidenced by the powerful electromagnetic emissions produced at the nuclei of these galaxies – which are known as “Active Galatic Nuclei” (AGN) – that are believed to be caused by gas and dust accreting onto the SMBH. For decades, astronomers have been studying the light coming from AGNs to determine how large and massive their black holes are. This has been difficult, since this light is subject to the Doppler effect, which causes its spectral lines to broaden. But thanks to a new model developed by researchers from China and the US, astronomers may be able to study these Broad Line Regions (BLRs) and make more accurate estimates about the mass of black holes.

An artist’s impression of the accretion disc around the supermassive black hole that powers an active galaxy. Credit: NASA/Dana Berry, SkyWorks Digital

Dense clouds of dust and gas, illustrated here, can obscure less energetic radiation from an active galaxy’s central black hole. High-energy X-rays, however, easily pass through. Credit: ESA/NASA/AVO/Paolo Padovani

Artist's impression of the relativistic jet emanating from a black hole. Credit: Northwestern University
See model W-HR in Movie shows the data of 7,400 - 31,000 t_g. Unfortunately, the data of the first 0-7,400 t_g was corrupted due to output error. The accretion disc is initially turned slightly to the left and towards the viewer (black hole spin is pointing vertical in the movie). We see how the relativistic jets are launched (greatly disturbing the accretion disc) and how they point along the rotation axis of the disc (slightly to the left and towards the viewer), and not along the black hole spin. Over time, we see how the jets and disc change direction together, moving slightly to the right and aligning slightly with the black hole. Together, the disc and jets precess around the black hole spin about 40 degrees over the entire simulation. Precession of the accretion disc was predicted by Lense and Thirring in 1918 (and confirmed in previous work). Here, we present the first simulation ever to demonstrate that jets follow along with the precession of the accretion disc.

Detection of an unusually bright X-Ray flare from Sagittarius A*, a supermassive black hole in the center of the Milky Way galaxy. Credit: NASA/CXC/Stanford/I. Zhuravleva et al.

Artist's impression of the star cluster NGC 3201 orbiting an black hole with about four times the mass of the Sun. Credit: ESO/L. Calçada
Astronomers using ESO’s MUSE instrument on the Very Large Telescope in Chile have discovered a star in the cluster NGC 3201 that is behaving very strangely. It appears to be orbiting an invisible black hole with about four times the mass of the Sun — the first such inactive stellar-mass black hole found in a globular cluster. This important discovery impacts on our understanding of the formation of these star clusters, black holes, and the origins of gravitational wave events. This artist’s impression shows how the star and its massive but invisible black hole companion may look, as they orbit each other in the rich heart of the globular star cluster. More information and download options: Credit: ESO/L. Calçada/spaceengine.org
Astronomers using ESO’s MUSE instrument on the Very Large Telescope in Chile have discovered a star in the cluster NGC 3201 that is behaving very strangely. It appears to be orbiting an invisible black hole with about four times the mass of the Sun — the first such inactive stellar-mass black hole found in a globular cluster. This important discovery impacts on our understanding of the formation of these star clusters, black holes, and the origins of gravitational wave events. This artist’s impression shows how the star and its massive but invisible black hole companion may look, as they orbit each other in the rich heart of the globular star cluster. More information and download options: Credit: ESO/L. Calçada/spaceengine.org
Astronomers using ESO’s MUSE instrument on the Very Large Telescope in Chile have discovered a star in the cluster NGC 3201 that is behaving very strangely. It appears to be orbiting an invisible black hole with about four times the mass of the Sun — the first such inactive stellar-mass black hole found in a globular cluster. This important discovery impacts on our understanding of the formation of these star clusters, black holes, and the origins of gravitational wave events. This short ESOcast takes a look at this discovery and its significance. The video is available in 4K UHD. The ESOcast Light is a series of short videos bringing you the wonders of the Universe in bite-sized pieces. The ESOcast Light episodes will not be replacing the standard, longer ESOcasts, but complement them with current astronomy news and images in ESO press releases. More information and download options: Subscribe to ESOcast in iTunes! Receive future episodes on YouTube by pressing the Subscribe button above or follow us on Vimeo: Watch more ESOcast episodes: :Find out how to view and contribute subtitles for the ESOcast in multiple languages, or translate this video on YouTube Credit: ESO.

Artist's impression of the black hole wind at the center of a galaxy. Credit: ESA

Artist’s impression of a black hole’s wind sweeping away galactic gas. Credit: ESA

Artist’s concept of Sagittarius A, the supermassive black hole at the center of our galaxy. Credit: NASA/JPL
Visualization of a black hole. Credit: D. Coe, J. Anderson, and R. van der Marel (STScI)/NASA/ESA On April Fools' Day in 1988, a modern science classic by world-renowned theoretical physicist and cosmologist Stephen Hawking was published. Called "A Brief History of Time," it set off a wave of public curiosity about humanity's place in the universe.
Black Holes are known to swallow everything coming in their path but that's not the end. With time they they emit enormous amounts of energy. In 2015 Hubble Telescope captured something that shocked the entire world. It was a burst of plasma jet 260 million light years away in space coming from an unknown source. Calculations showed that the jet was travelling at 98% the speed of light. Scientists finally concluded that they have captured a plasma burst coming from a super-massive Black Hole. Which is located inside a galaxy 260 million light-years away. Join me on instagram Source NASA Darkest Child A by Kevin MacLeod, License Artist:
Black holes, those beguiling singularities that sit on the precipice of the known and the unknown, keep surprising us with their behaviour. As organizations like the Event Horizon Telescope have made clear, there’s a lot we don’t know about the holes, and worse than that, we don’t even know how much we don’t know.
Artist’s impression of a feeding stellar-mass black hole sucking material from its companion star. The material is heated by the swirling action in the accretion disk. Some of the material is expelled by the two jets. Some black holes shoot out jets of material, some don’t. Credit: NASA, ESA, Martin Kornmesser (ESA/Hubble)
For some reason, the black hole in V404 Cygni is misaligned with its accretion disk. Image Credit: ICRAR
V404 Cygni’s black hole and inner accretion disk are misaligned with the outer accretion disk and its binary pair star, causing the jets to shoot out blobs of material, rather than steady-stream jets of material. Image Credit: ICRAR.
Narrated V404 Cygni Black Hole Animation from ICRAR on Vimeo.
An animation of the precessing jets and accretion flow in V404 Cygni narrated by Associate Professor James Miller-Jones of Curtin University and ICRAR. Zooming in from the high-speed plasma clouds observed with our radio telescope, we see the binary system itself. Mass from the star spirals in towards the black hole via an accretion disk, whose inner regions are puffed up by intense radiation. The spinning black hole pulls spacetime (the green gridlines) around with it, causing the inner disk to precess like a spinning top, redirecting the jets as it does so. Credit: ICRAR
Find out more at ICAR ORG
The Hubble Space Telescope is like an old dog that is constantly teaching the astronomical community new tricks. In the course of its almost thirty years in operation, it has revealed vital data about the expansion of the Universe, its age, the Milky Way, supermassive black holes (SMBHs), other star systems and exoplanets, and the planets of the Solar System.
Artist’s impression of the path of the star S2 as it passes very close to the supermassive black hole at the centre of the Milky Way. Credit: ESO/M. Kornmesser
Illustration of a supermassive black hole surrounded by a debris disk. Credit: NRAO/AUI/NSF
Artist’s impression of NGC 3147 black hole disc. Credit: ESA/Hubble
Astronomers have spotted three supermassive black holes (SMBHs) at the center of three colliding galaxies a billion light years away from Earth. That alone is unusual, but the three black holes are also glowing in x-ray emissions. This is evidence that all three are also active galactic nuclei (AGN,) gobbling up material and flaring brightly.
Three supermassive black holes are on a collision course, captured by telescopes on the ground and in space. The system where this triple black hole merger is happening, called SDSS J0849+1114, is located about a billion light years from Earth. To make this discovery, astronomers combined data from telescopes on the ground as well as several in space including Chandra, Hubble, WISE and NuSTAR. Scientists have seen multiple cases where two supermassive black holes are collision course. This latest result, however, is the best evidence yet for a trio of giant black holes. Astronomers think these triplet collisions, while extremely rare, play a critical role in how the biggest black holes grow over time.
The main image is an archival Hubble Space Telescope image. The top right corner is an image from Chandra X-ray Observatory data. The lower left image is a lower resolution Sloan Digital Sky Survey image. Image Credit: Hubble/Chandra/SDSS/Pfeifle et. al., 2019.
Artist illustration of the Chandra X-ray Observatory. Chandra is the most sensitive X-ray telescope ever built, and played a large role in this discovery. Credit: NASA/CXC/NGST
The spectrum of gravitational waves and the instruments that observe them. LISA is a space interferometer and can detect things that LIGO can’t. Image Credit: ESA/NASA/LISA
A Triple AGN in a Mid-Infrared Selected Late Stage Galaxy Merger (PDF)
RYAN W. PFEIFLE, 1 SHOBITA SATYAPAL, 1 CHRISTINA MANZANO-KING, 2 JENNA CANN, 1 REMINGTON O. SEXTON, 2 BARRY ROTHBERG, 3, 1 GABRIELA CANALIZO, 2 CLAUDIO RICCI, 4, 5 LAURA BLECHA, 6 SARA L. ELLISON, 7 MARIO GLIOZZI, 1 NATHAN J. SECREST, 8 ANCA CONSTANTIN, 9 AND JENNA B. HARVEY9 1Department of Physics and Astronomy, George Mason University, MS3F3, 4400 University Drive, Fairfax, VA 22030, USA 2Department of Physics and Astronomy, University of California, Riverside, 900 University Avenue, Riverside, CA, 92521, USA 3LBT Observatory, University of Arizona, 933 N. Cherry Ave., Tucson, AZ 85721, USA 4Núcleo de Astronomía de la Facultad de Ingeniería, Universidad Diego Portales, Av. Ejército Libertador 441, Santiago, Chile 5Kavli Institute for Astronomy and Astrophysics, Peking University, Beijing 100871, China 6Department of Physics, University of Florida, P.O. Box 118440, Gainesville, FL 32611-8440, USA 7Department of Physics and Astronomy, University of Victoria, Victoria, BC V8P 1A1, Canada 8U.S. Naval Observatory, 3450 Massachusetts Avenue NW, Washington, DC 20392, USA 9Department of Physics and Astronomy, James Madison University, Harrisonburg, VA 22807, USA
This movie shows a simulation of the merger of two black holes and the resulting emission of gravitational radiation. The colored fields represent a component of the curvature of space-time. The outer sheets (red) correspond directly to outgoing gravitational radiation, which was recently detected by the NSF’s LIGO observatories. Credit: NASA/C. Henze
Black holes are one of the most awesome and mysterious forces of nature. At the same time, they are fundamental to our understanding of astrophysics. Not only are black holes the result of particularly massive stars that go supernova at the end of their lives, they are also key to our understanding of General Relativity and are believed to have played a role in cosmic evolution.
Artist’s impression of a black hole and a massive star binary system. Credit: ESO/L. Calçada
Artist’s impression of a star orbiting with a black hole that produces powerful jets. Credit: ESO/Chandra
Diagram detailing the Radial Velocity (aka. Doppler Shift) method. Credit: Las Cumbres Observatory
Astronomers have spotted a 40 billion solar mass black hole in the Abell 85 cluster of galaxies. They found the behemoth using spectral observations with the Very Large Telescope (VLT.) There are only a few direct mass measurements for black holes, and at about 700 million light years from Earth, this is the most distant one. Inside the Abell 85 cluster lies Holm 15A, a brightest cluster galaxy (BCG.) That means it’s the brightest galaxy in the Abell 85 cluster. The center of Holm 15A is diffuse, and very faint, even though the galaxy itself is very luminous, and has a visible mass of stars totaling two trillion solar masses. This apparent discrepancy caught the eyes of researchers at the Max Planck Institute for Extraterrestrial Physics (MPE) and the University Observatory Munich (USM.)
The Large Magellanic Cloud is about 14,000 light years in diameter, and the central region of Holm 15A is nearly as large. Image: Public Domain,(Wikipedia)
Faint glow: This diagram shows the distribution of the surface brightness of the central cluster galaxy Holm 15A. Compared to other galaxies, the core of the galaxy has a very low surface brightness and extends over a diameter of about 15,000 light years. Image Credit: MPE
Artist’s impression of the orbits of three of the stars very close to the supermassive black hole at the center of the Milky Way. The mass of most black holes is measured by determining the motion of stars close to the galactic center. That doesn’t work for extremely distant galaxies. Credit: ESO/M. Parsa/L. Calçada
A 40-BILLION SOLAR MASS BLACK HOLE IN THE EXTREME CORE OF HOLM 15A, THE CENTRAL GALAXY OF ABELL 85 (PDF)
Thanks to the vastly improved capabilities of today’s telescopes, astronomers have been probing deeper into the cosmos and further back in time. In so doing, they have been able to address some long-standing mysteries about how the Universe evolved since the Big Bang. One of these mysteries is how supermassive black holes (SMBHs), which play a crucial role in the evolution of galaxies, formed during the early Universe.
This video shows one of the gas halos newly observed with the MUSE instrument on ESO’s Very Large Telescope superimposed to an older image of a galaxy merger obtained with ALMA. The large-scale halo of hydrogen gas is shown in blue, while the ALMA data is shown in orange. This 3D view was rendered using real data from MUSE and ALMA. The halo is bound to the galaxy, which contains a quasar at its centre. The faint, glowing hydrogen gas in the halo provides the perfect food source for the supermassive black hole at the centre of the quasar. The objects in this 3D view are located at redshift 6.2, meaning they are being seen as they were 12.8 billion years ago. While quasars are bright, the gas reservoirs around them are much harder to observe. But MUSE could detect the faint glow of the hydrogen gas in the halos, allowing astronomers to finally reveal the food stashes that power supermassive black holes in the early Universe. More information and download options: Credit: ESO/Farina et al.; ALMA (ESO/NAOJ/NRAO), Decarli et al.; L. Calçada
Astronomers using ESO's Very Large Telescope have observed reservoirs of cool gas around some of the earliest galaxies in the Universe. Watch this video to find out why this discovery is important. The video is available in 4K UHD. The ESOcast Light is a series of short videos bringing you the wonders of the Universe in bite-sized pieces. The ESOcast Light episodes will not be replacing the standard, longer ESOcasts, but complement them with current astronomy news and images in ESO press releases. More information and download options: Subscribe to ESOcast in iTunes! Receive future episodes on YouTube by pressing the Subscribe button above or follow us on Vimeo: https://www.eso.org/public/videos/archive/category/esocast/">Watch more ESOcast episodes: Find out how to view and contribute subtitles for the ESOcast in multiple languages, or translate this video on YouTube: Credit: ESO Directed by: Herbert Zodet. Editing: Herbert Zodet. Web and technical support: Gurvan Bazin and Raquel Yumi Shida. Written by: Caroline Reid and Bárbara Ferreira. Music: STAN DART (www.stan-dart.com) — Reflections. Footage and photos: ESO, Farina et al., ALMA (ESO/NAOJ/NRAO), Decarli et al., L. Calçada, M. Kornmesser, Theofanis Matsopoulos and Gianluca Lombardi (glphoto.it). Scientific consultant: Mariya Lyubenova. Caption author (Croatian) GemSirin Caption author (Portuguese (Brazil)) Caroline M. Caption author (Vietnamese) Sang Mai Thanh Caption author (Arabic) To Arabic Caption author (Italian) Fausto Mescolini Caption author (French) Christe Valérie Caption author (Chinese (China)) cat calico Caption authors (Romanian) Răzvan Neagoe Laura K Category Science & Technology License Creative Commons Attribution license (reuse allowed)
This animation depicts a quasar in the early Universe; as we zoom out, we notice the quasar is surrounded by a giant gas halo. The quasar, in orange, has two powerful jets and a supermassive black hole at its centre. The gas halo of glowing hydrogen gas is represented in blue. A team of astronomers surveyed 31 distant quasars, seeing them as they were more than 12.5 billion years ago, at a time when the Universe was still an infant, only about 870 million years old. They found that 12 quasars were surrounded by enormous gas reservoirs: halos of cool, dense hydrogen gas extending 100 000 light years from the central black holes and with billions of times the mass of the Sun. These gas stashes provide the perfect food source to sustain the growth of supermassive black holes in the early Universe. More information and download options: Credit: ESO/M. Kornmesser Category Science & Technology License Creative Commons Attribution license (reuse allowed)
Report on the furthest Black Hole as of 2-2020 (PDF)
EMANUELE PAOLO FARINA, 1, 2 FABRIZIO ARRIGONI–BATTAIA, 2 TIAGO COSTA, 2 FABIAN WALTER, 1 JOSEPH F. HENNAWI, 1, 3 ANNA–CHRISTINA EILERS, 1 ALYSSA B. DRAKE, 1 ROBERTO DECARLI, 4 THALES A. GUTCKE, 5 CHIARA MAZZUCCHELLI, 6 MARCEL NEELEMAN, 1 ISKREN GEORGIEV, 1 EDUARDO BANADOS ˜ , 1 FREDERICK B. DAVIES, 3 XIAOHUI FAN, 7 MASAFUSA ONOUE, 1 JAN–TORGE SCHINDLER, 1 BRAM P. VENEMANS, 1 FEIGE WANG, 3 JINYI YANG, 7 SEBASTIAN RABIEN, 8 AND LORENZO BUSONI9 1Max Planck Institut fur Astronomie, K ¨ onigstuhl 17, D-69117, Heidelberg, Germany ¨ 2Max Planck Institut fur Astrophysik, Karl-Schwarzschild-Straße 1, D-85748, Garching bei M ¨ unchen, Germany ¨ 3Department of Physics, University of California, Santa Barbara, CA 93106-9530, USA 4 INAF — Osservatorio di Astrofisica e Scienza dello Spazio di Bologna, via Gobetti 93/3, I-40129, Bologna, Italy 5Max Planck Institut fur Astrophysik, Karl–Schwarzschild–Straße 1, D-85748, Garching bei M ¨ unchen, Germany ¨ 6European Southern Observatory, Alonso de Cordova 3107, Vitacura, Regi ´ on Metropolitana, Chile ´ 7Steward Observatory, University of Arizona, 933 N Cherry Ave, Tucson, AZ 85719, USA 8Max Planck Institut fur Extraterrestrische Physik Gießenbachstraße 1, D-85748, Garching bei M ¨ unchen, Germany ¨ 9 INAF — Osservatorio Astronomico di Arcetri, Largo Enrico Fermi 5, I-50125, Firenze, Italy
At the heart of most massive galaxies in our Universe, there are supermassive black holes (SMBH) on the order of millions to billions of times the mass of the Sun. As these behemoths consume gas and dust that’s slowly fed into their maws, they release tremendous amounts of energy. This leads to what is known as an Active Galactic Nucleus (AGN) – aka. a quasar – which can sometimes send hypervelocity jets of material for light-years.
We hear that black holes absorb all the light that falls into them. And yet, we hear of black holes shining so brightly we can see them halfway across the Universe. What's going on? Which is it? Support us at: More stories at: Follow us on Twitter: @universetoday Follow us on Tumblr: Like us on Facebook: Instagram - Team: Fraser Cain - @fcain Jason Harmer - @jasoncharmer Susie Murph - @susiemmurph Brian Koberlein - @briankoberlein Chad Weber - weber.chad@gmail.com Kevin Gill - @kevinmgill Created by: Fraser Cain and Jason Harmer Edited by: Chad Weber Music: Left Spine Down - “X-Ray”
An animation of the supermassive black hole in BL Lacertae. Video credit: NRAO
Animation zooms in from the intergalactic medium on scales beyond one million light-years down to the inner ten light-year region of a massive galaxy, the predicted influx of gas into the accretion disk surrounding the supermassive black hole is high enough to power a luminous quasar at the epoch of peak activity. Credit: Anglés-Alcázar et al. 2021, ApJ, 917, 53.
by Calla Cofield, Space.com Staff Writer
December 30, 2014 01:36pm ET

A computer simulation shows the G2 gas cloud's encounter with the supermassive black hole Sagittarius A*
at the center of the Milky Way, as well as the paths of the many other objects that orbit the black hole.
Credit: SO/MPE/Marc Schartmann 3
EUROPEAN SOUTHERN OBSERVATORY PRESS RELEASE

This artist’s impression shows stars orbiting the supermassive black hole at the centre of the Milky Way.
In 2018 one of these stars, S2, will pass very close to the black hole and this event will be the best opportunity
to study the effects of very strong gravity and test the predictions of Einstein’s general relativity in the near future.
The GRAVITY instrument on the ESO Very Large Telescope Interferometer is the most powerful tool for measuring the positions
of these stars in existence and it was successfully tested on the S2 star in the summer of 2016.
The orbit of S2 is shown in red and the position of the central black hole is marked with a red cross.
Illustration credit: ESO/L. Calçada.

Artist's impression of the orbits of three of the stars very close to the supermassive black hole at the center of the Milky Way. Credit: ESO/M. Parsa/L. Calçada

Artist’s impression of part of S2s orbit around the supermassive black hole at the center of the Milky Way. Credit: ESO/M. Parsa/L. Calçada
Uploaded on Aug 2, 2017 This artist's impression video shows the orbits of three of the stars very close to the supermassive black hole at the centre of the Milky Way. Analysis of data from ESO’s Very Large Telescope and other telescopes suggests that the orbits of these stars show the subtle effects predicted by Einstein’s general theory of relativity. There are hints that the orbit of the star called S2 is deviating slightly from the path calculated using classical physics. The end of this sequence highlights the tiny change in the orbit due to the relativistic effects. The position of the black hole is marked with a red cross. More information and download options: Credit: ESO/M. Parsa/L. Calçada Category Science & Technology License Creative Commons Attribution license (reuse allowed)
Published on Aug 10, 2017 A new analysis of data from ESO’s Very Large Telescope and other telescopes suggests that the orbits of stars around the supermassive black hole at the centre of the Milky Way show the subtle effects predicted by Einstein’s general theory of relativity. There are hints that the orbit of the star S2 is deviating slightly from the path calculated using classical physics. This tantalising result is a prelude to much more precise measurements and tests of relativity that will be made using the GRAVITY instrument as star S2 passes very close to the black hole in 2018. This short video shows what this result means and why it is important. The video is available in 4K UHD. The ESOcast Light is a series of short videos bringing you the wonders of the Universe in bite-sized pieces. The ESOcast Light episodes will not be replacing the standard, longer ESOcasts, but complement them with current astronomy news and images in ESO press releases. More information and download options Subscribe to ESOcast in iTunes! Receive future episodes on YouTube by pressing the Subscribe button above or follow us on Vimeo: Watch more ESOcast episodes: Find out how to view and contribute subtitles for the ESOcast in multiple languages, :or translate this video on YouTube Credit: European Space Agency Directed by: Nico Bartmann. Editing: Nico Bartmann. Web and technical support: Mathias André and Raquel Yumi Shida. Written by: Izumi Hansen and Richard Hook. Music: Music written and performed by STAN DART Footage and photos: ESO, N. Risinger (skysurvey.org), Digitized Sky Survey 2, M. Parsa, L. Calçada and MPE. Executive producer: Lars Lindberg Christensen. Caption author (Korean) Starlight Moonlight Yu Category Science & Technology License Standard YouTube License


In yet another discovery emanating from detailed analysis of the latest data from the
High Energy Stereoscopic System (H.E.S.S.) observatory in Namibia, an international team of scientists,
including astrophysicists from the University of the Witwatersrand in Johannesburg, announced they have found
the most powerful source of cosmic radiation at the center of our galaxy.

Illustration of the supermassive black hole at the center of the Milky Way. Credit: NRAO/AUI/NSF

Simulated view of a black hole. Credit: Bronzwaer/Davelaar/Moscibrodzka/Falcke/Radboud University

Combined image of Sagittarius A shown in x-ray (blue) and infrared (red), provided by the Chandra Observatory and the Hubble Space Telescope. Credit: X-ray: NASA/UMass/D.Wang et al., IR: NASA/STScI

This artist's impression shows a star crossing the event horizon of a supermassive black hole located in the center of a galaxy. The black hole is so large and massive that tidal effects on the star are negligible, and the star is swallowed whole. Image: Mark A. Garlick/CfA

This artist's impression shows a star crossing the event horizon of a supermassive black hole located in the center of a galaxy. The black hole is so large and massive that tidal effects on the star are negligible, and the star is swallowed whole. Image: Mark A. Garlick/CfA

This is the first in a sequence of two artist’s impressions that shows a huge, massive sphere in the center of a galaxy, rather than a supermassive black hole. Here a star moves towards and then smashes into the hard surface of the sphere, flinging out debris. The impact heats up the site of the collision. Image:Mark A. Garlick/CfA

In this second artist’s impression a huge sphere in the center of a galaxy is shown after a star has collided with it. Enormous amounts of heat and a dramatic increase in the brightness of the sphere are generated by this event. The lack of observation of such flares from the center of galaxies means that this hypothetical scenario is almost completely ruled out. Image: Mark A. Garlick/CfA
Published on Oct 20, 2014 If you could see a black hole with your own eyeballs, what would you see? More stories at: Follow us on Twitter: @universetoday Follow us on Tumblr: Like us on Facebook: Google+ - Instagram - Team: Fraser Cain - @fcain Jason Harmer - @jasoncharmer Susie Murph - @susiemmurph Brian Koberlein - @briankoberlein Chad Weber - weber.chad@gmail.com Kevin Gill - @kevinmgill Created by: Fraser Cain and Jason Harmer Edited by: Chad Weber Music: Left Spine Down - “X-Ray” https://www.youtube.com/watch?v=KzWwJ...
NASA's Spitzer Space Telescope captured this stunning infrared image of the center of the Milky Way Galaxy, where the black hole Sagitarrius A resides. Credit: NASA/JPL-Caltech
A false color Spitzer infrared image of the Milky Way’s Central Molecular Zone (CMZ). Credit: Spitzer/NASA/CfA

A radio image from the NSF’s Karl G. Jansky Very Large Array showing the center of our galaxy. The mysterious radio filament is the curved line located near the center of the image, & the supermassive black hole Sagittarius A* (Sgr A*), is shown by the bright source near the bottom of the image. Credit: NSF/VLA/UCLA/M. Morris et al.

Detection of an unusually bright X-Ray flare from Sagittarius A*, a supermassive black hole in the center of the Milky Way galaxy. Credit: NASA/CXC/Stanford/I. Zhuravleva et al.

Labelled image of the center of our galaxy, showing the mysterious radio filament & the supermassive black hole Sagittarius A* (Sgr A*). Credit: NSF/VLA/UCLA/M. Morris et al.
Astronomers have produced the first high-resolution map tracing the magnetic field lines around the Milky Way’s supermassive black hole.
This new high-resolution map shows the magnetic field lines embedded in gas and dust around the supermassive black hole (Sagittarius A*) residing in the core of the Milky Way. Red areas show regions where warm dust particles and stars are emitting lots of infrared radiation (heat), while dark blue areas show cooler regions that lack pronounced warm and dusty filaments. E. Lopez-Rodriguez/NASA Ames/University of Texas at San Antonio
Astronomers determined the star S0-2, which will test Einstein’s Theory of General Relatively when it swings by our galaxy’s supermassive black hole later this year, does not have a significant binary companion. By Jake Parks | Published: Wednesday, February 28, 2018
S0-2 is one of only a handful of stars that orbit very close to the Milky Way’s supermassive black hole. Later this year, astronomers will eagerly observe S0-2 as it makes its closest pass by the black hole, which will provide a stringent test of Einstein’s Theory of General Relativity. S. Sakai/A. Ghez/W. M. Keck Observatory/UCLA Galactic Center Group

Colour composite image of Centaurus A, revealing the lobes and jets emanating from the active galaxy’s central black hole. Credit: ESO/NASA/CXC/CfA/WFI/MPIfR/APEX/A.Weiss et al./R.Kraft et al.

The primary mirror of the Hobby-Eberly Telescope (HET) at McDonald Observatory. The mirror is made up of 91 segments, and has an effective aperture of 9.2 meters. Credit: Marty Harris/McDonald Observatory

The galaxy NGC 660 – in this and other galaxies, the rate at which new stars are formed appears to be linked to the evolution of the galaxy’s central black hole. Credit: ESA/Hubble/NASA

Artist’s concept of the most distant supermassive black hole ever discovered. It is part of a quasar from just 690 million years after the Big Bang. Credit: Robin Dienel/Carnegie Institution for Science

The ESA's Gaia mission is currently on a five-year mission to map the stars of the Milky Way. Image credit: ESA/ATG medialab; background: ESO/S. Brunier.

Artist’s illustration of two merging neutron stars, which are a source of gravitational waves. Credit: National Science Foundation/LIGO/Sonoma State University/A. Simonnet

Figure showing a Gaia star field, with red and black lines indicating induced apparent motions of the stars within a hemisphere. Credit: Kavli Institute for Cosmology, Cambridge

Artist’s impression of two merging black holes, which has been theorized to be a source of gravitational waves. Credit: Bohn, Throwe, Hébert, Henriksson, Bunandar, Taylor, Scheel/SXS
Artist's impression of an ionized gas outflow (green) driven by the central supermassive black hole does not affect the star formation of its host galaxy. This situation may occur if the ionized gas is outflowing perpendicularly to the molecular gas. Credit: ALMA (ESO/NAOJ/NRAO)
Images from the Sloan Digital Sky Survey (SDSS) (left), and mid-infrared image from WISE (right), respectively. Credit: Sloan Digital Sky Survey/NASA/JPLCaltech
IEmission from Carbon Monoxide (Left) and Cold Dust (Right) in WISE1029 Observed by ALMA (image). Credit: ALMA (ESO/NAOJ/NRAO), Toba et al.
Artist’s impression of the black hole wind at the center of a galaxy. Credit: ESA
Thanks to the Chandra X-ray Observatory
On September 14th, 2013, astronomers caught the largest X-ray flare ever detected from the supermassive black hole at the center of the Milky Way, known as Sagittarius A* (Sgr A*). Credit: NASA/CXC/Stanford/I. Zhuravleva et al.
The center of the Milky Way Galaxy, with X-ray binaries circled in red, other X-ray sources circled in yellow, and Sagittarius A* circled in blue at the center. Credit: NASA/CXC/Columbia University/C. Hailey et al.
Artist”s impression of a black hole binary, consisting of a black hole siphoning material from its companion. Credit: ESO/L. Calçada
The galactic core, observed using infrared light and X-ray light. Credit: NASA, ESA, SSC, CXC, and STScI
Pictured here are members of GCOI in front of Keck Observatory on Maunakea, Hawaii, during a visit last year. Credit: W.M. Keck Observatory
3-D spectro-imaging data cube produced using software called OSIRIS-Volume Display ( OsrsVol) to separate G3, G4, and G5 from the background emission. Credit: W.M. Keck Observatory
A binary star system potentially on the verge of a stellar collision. Credit: Chandra
At the heart of the Milky Way Galaxy lurks a Supermassive Black Hole (SMBH) named Sagittarius A* (Sag. A-star). Sag. A* is an object of intense study, even though you can’t actually see it. But new images from the Atacama Large Millimetre/sub-millimetre Array (ALMA) reveal swirling high-speed clouds of gas and dust orbiting the black hole, the next best thing to seeing the hole itself.
This ALMA image shows the central 2 parsecs of the Milky Way, with Sag. A* circled in the middle. Blue represents carbon monoxide and red represent hydrogen cyanide. The dotted blue and lines represent inner and outer circular orbits around the black hole. The dotted green lines represent elliptical orbits previously proposed to fit the motion of the ionized gas streamers. The motions of the CO and HCN cloudlets follow neither orbit. Image: ALMA, Goicoechea et. al. 2019.
This image shows red and magenta carbon monoxide cloudlets around the central black hole. The black contour lines are the ionized gas streamers, the dominant structure this close to the black hole. The cloudlets don’t conform to the orbits and velocities of the streams of gas. Image: ALMA, Goicoechea et. al. 2019.
On April 10th, 2019, the world was treated to the first image of a black hole, courtesy of the Event Horizon Telescope (EHT). Specifically, the image was of the Supermassive Black Hole (SMBH) at the center of the supergiant elliptical galaxy known as M87 (aka. Virgo A). These powerful forces of nature are found at the centers of most massive galaxies, which include the Milky Way (where the SMBH known as Sagittarius A* is located).
Image of the Centaurus A galaxy, combining optical, x-ray, and infrared data. Credit: X-ray: NASA/CXC/SAO; Optical: Rolf Olsen; Infrared: NASA/JPL-Caltech
Close-up images of the relativistic jet emanating from Centaurus A. Credit: M. Janssen, H. Falcke, M. Kadler, E. Ros, M. Wielgus et al.
<>
The Event Horizon Telescope (EHT) — a planet-scale array of eight ground-based radio telescopes forged through international collaboration — was designed to capture images of a black hole. In coordinated press conferences across the globe, EHT researchers revealed that they succeeded, unveiling the first direct visual evidence of a supermassive black hole and its shadow. This zoom video starts with a view of ALMA and zooms in on the heart of M87, showing successively more detailed observations and culminating in the first direct visual evidence of a supermassive black hole’s shadow. : More information and download options Credit: ESO/L. Calçada, Digitized Sky Survey 2, ESA/Hubble, RadioAstron, De Gasperin et al., Kim et al., EHT Collaboration. Music: Niklas Falcke
During the 18th century, famed French astronomer Charles Messier noticed the presence of several “nebulous objects” while surveying the night sky. Originally mistaking these objects for comets, he began to catalog them so that others would not make the same mistake. Today, the resulting list (known as the Messier Catalog) includes over 100 objects and is one of the most influential catalogs of Deep Space Objects.
Taken over a 13-year span, this sequence of Hubble images reveals changes in a black-hole-powered jet of hot gas in the giant elliptical galaxy M87. These images are part of a new time-lapse movie that shows hot plasma spiraling along magnetic field lines generated by the supermassive black hole. Credit: NASA/ESA/E. Meyer, W. Sparks, J. Biretta, J. Anderson, S.T. Sohn, and R. van der Marel (STScI)/C. Norman (JHU)/M. Nakamura (Academia Sinica)
This composite image from NASAs Chandra X-ray Observatory with radio data from the Very Large Array shows a cosmic volcano being driven by a black hole in the center of the M87 galaxy.
In 2019 the Event Horizon Telescope (EHT) gave us the first direct image of a black hole. On one hand, the image it produced was rather unimpressive. Just a circular blur of light surrounding a dark central region. On the other hand, subtle characteristics of the image hold tremendous information about the size and rotation of the black hole. Most of the details of the black hole image are blurred by the limits of the EHT. But the next generation EHT should provide a sharper view, and could reveal the dark edge of a black hole’s event horizon.
How strongly lensed light creates a photon ring. Credit: Center for Astrophysics, Harvard & Smithsonian
Different photon paths create layers of light. Credit: George Wong (UIUC) and Michael Johnson (CfA)
This discovery not only opened up an exciting new field of research, but has opened the door to many intriguing possibilities. One such possibility, according to a new study by a team of Russian scientists, is that gravitational waves could be used to transmit information. In much the same way as electromagnetic waves are used to communicate via antennas and satellites, the future of communications could be gravitationally-based.
Neutron stars scream in waves of spacetime when they die, and astronomers have outlined a plan to use their gravitational agony to trace the history of the universe. Join us as we explore how to turn their pain into our cosmological profit.
Artist’s illustration of two merging neutron stars. The narrow beams represent the gamma-ray burst while the rippling spacetime grid indicates the isotropic gravitational waves that characterize the merger. Credit: National Science Foundation/LIGO/Sonoma State University/A. Simonnet
On February 11th, 2016, scientists at the Laser Interferometer Gravitational-wave Observatory (LIGO) made history when they announced the first-ever detection of gravitational waves (GWs). Since that time, multiple detections have taken place and scientific collaborations between observatories – like Advanced LIGO and Advanced Virgo – are allowing for unprecedented levels of sensitivity and data sharing.
Artist’s impression of two merging black holes, which has been theorized to be a source of gravitational waves. Credit: Bohn, Throwe, Hébert, Henriksson, Bunandar, Taylor, Scheel/SXS
Artist’s illustration of two merging neutron stars. Credit: National Science Foundation/LIGO/Sonoma State University/A. Simonnet
Artist’s impression of merging binary black holes. Credit: LIGO/A. Simonnet.
Current and planned gravitational wave (GW) observatories around the world.(as of December, 2018) Credit: LIGO-Caltech
In physics, there are two main ways to model the universe. The first is the classical way. Classical models such as Newton’s laws of motion and Einstein’s theory of relativity assume that the properties of an object such as its position and motion are absolute. There are practical limits to how accurately we can measure an object’s path through space and time, but that’s on us. Nature knows their motion with infinite precision. Quantum models such as atomic physics assume that objects are governed by interactions. These interactions are probabilistic and indefinite. Even if we constrain an interaction to limited outcomes, we can never know the motion of an object with infinite precision, because nature doesn’t allow it.
How different theories are related. Credit: B. Jankuloski It’s difficult to study this theory because we don’t have any experiments to test it directly. But a new study proposes an experiment that could give us a glimpse of how quantum gravity might work.
Perhaps the most surprising prediction of general relativity is that of gravitational waves. Ripples in space and time that spread through the universe at the speed of light. Gravitational waves are so faint that for decades their detection was thought impossible. Even today, it takes an array of laser interferometers several kilometers long to see their effect. But what if we could detect them with a table-top experiment in a university lab? In a recent paper published in the New Journal of Physics, a team of physicists proposes just such a device. Rather than using beams of light, they suggest using the quantum superposition of a single electron.
The superposition would be shifted by gravitational waves. Credit: Marshman, Ryan James, et al
Gravity might be caused by quantum interactions. Credit: SLAC National Accelerator Lab
Few events in the astronomy community were received with more fanfare than the first detection of gravitational waves, which took place on September 14th, 2015. Since then, different events have been recorded using the same techniques. Many include data from other observational platforms, as the events that normally create gravitational waves are of interest to almost everyone in the astronomical community. Black hole and neutron star mergers and the like provide a plethora of data to understand the physics that happen under such extreme conditions.
Graphic showing the how far away some of the events for each observatory were. O2 is the second observing period, whereas O3a is the first part of the third observing period. Credit: LIGO-Virgo Collaboration / Eve Chase / Caitlin Rose / Northwestern / University of Wisconsin-Milwaukee.
Black holes are the most impressive objects in the Universe, but when happens when they crash into each other is absolutely mind-bending. They distort space and time itself, sending ripples out into the Universe. Support us at: More stories at: Twitter: @universetoday Facebook: Instagram - Sign up to my weekly email newsletter: Support us at:Support us at: Follow us on Tumblr: : More stories at Follow us on Twitter: @universetoday Like us on Facebook: Instagram - Team: Fraser Cain - @fcain / frasercain@gmail.com /Karla Thompson - @karlaii Chad Weber - Chloe Cain - Instagram: @chloegwen2001 Music: Left Spine Down - “X-Ray”
In May of 2019, the gravitational wave observatories LIGO and Virgo detected the merger of two black holes. One had a mass of 85 Suns, while the other was 66 solar masses. The event was named GW190521 and was the largest merger yet observed. It produced a 142 solar mass black hole, making it the first gravitational wave observation of an intermediate mass black hole. But the event also raised several questions.
The observed merger event GW190521. Credit: R. Abbott et al. (LIGO Scientific Collaboration and Virgo Collaboration)
boson star as it would appear to the EHT (Event Horizon Telescope). Credit: Olivares et al
A solar flare, as it appears in extreme ultra-violet light. Credit: NASA/SFC/SDO
he path of three neutron stars behind the Sun. Credit: Takahashi et al
A star is being consumed by a distant supermassive black hole. Astronomers call this a tidal disruption event (TDE). As the black hole rips apart the star, two jets of material moving with almost the speed of light are launched in opposite directions. One of the jets was aimed directly at Earth. Image credit: Carl Knox (OzGrav, ARC Centre of Excellence for Gravitational Wave Discovery, Swinburne University of Technology)
Full podcast episodes: Support: Follow: Follow: on twitter Follow:on Facebook Part 1! What are gravitational waves? What makes them? How can we detect them here on Earth, and why is it a big deal? I discuss these questions and more in today’s Ask a Spaceman! Follow all the show updates at and help support the show at Hosted by Paul M. Sutter, astrophysicist at The Ohio State University, Chief Scientist at COSI Science Center, and the one and only Agent to the Stars Paul's website License Creative Commons Attribution license (reuse allowed) Keep those questions about space, science, astronomy, astrophysics, and cosmology coming to #AskASpaceman for COMPLETE KNOWLEDGE OF TIME AND SPACE! Music by Jason Grady and Nick Bain. 00:00 What is a gravitational wave? 06:15 What makes gravitational waves? 08:46 How do we detect gravitational waves? 12:24 What was the big deal with the first detection? 16:48 Why are gravitational waves so important?
Sign up to my weekly email newsletter: Support us at:Support us at: : More stories at Follow us on Twitter: @universetoday Like us on Facebook: Google+ - Instagram - Team: Fraser Cain - @fcain / frasercain@gmail.com /Karla Thompson - @karlaii Chad Weber - Chloe Cain - Instagram: @chloegwen2001 I've talked about how astronomers know that dark matter exists. Even though they can’t see it, they detect it through the effect its gravity has on light. Dark matter accounts for 27% of the Universe, dark energy accounts for 68% of the Universe. And again, astronomers really have no idea what what it is, only that they’re pretty sure it does exist. 95% of the nature of the Universe is a complete and total mystery. We just have no idea what this stuff is.
Illustration showing the Lamba Cold Dark Matter (LCDM) model, which indicates how the influence of dark energy has led to an accelerated rate of cosmic expansion. Credit: Wikipedia Commons/Alex Mittelmann
Based on our current growth in energy usage, how long will it take before we use up all the energy of our planet, of our star, or even all the energy in our galaxy? Sign up to my weekly email newsletter: Support us at:Support us at: : More stories at Follow us on Twitter: @universetoday Like us on Facebook: Google+ - Instagram - Team: Fraser Cain - @fcain / frasercain@gmail.com /Karla Thompson - @karlaii Chad Weber - Chloe Cain - Instagram: @chloegwen2001
A Dyson Sphere is a megastructure that could be built around a star to harness all the solar energy it gives off. In this video we talk about the different kinds of Dyson Spheres, Dyson Clouds and other megastructures that could be built - and how we might even detect them from Earth. Sign up to my weekly email newsletter: Support us at:Support us at: : More stories at Follow us on Twitter: @universetoday Like us on Facebook: Google+ - Instagram - Team: Fraser Cain - @fcain / frasercain@gmail.com /Karla Thompson - @karlaii Chad Weber - Chloe Cain - Instagram: @chloegwen2001
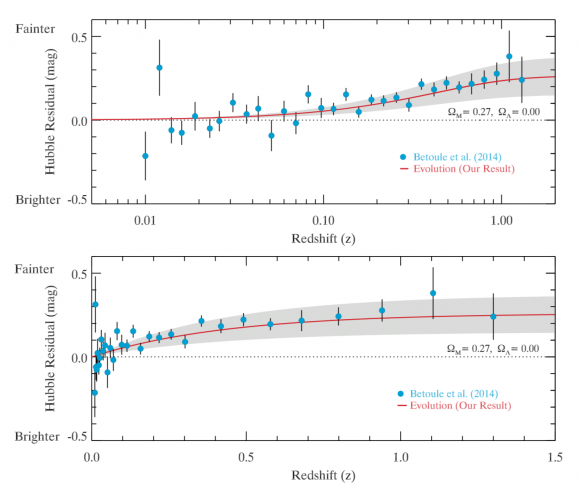
xies speeding away from us, their light redshifted due to cosmic expansion. This has been known since 1929 when Edwin Hubble calcuated the relation between a galaxy’s distance and its redshift. Then in the late 1990s, two studies of distant supernovae found that the expansion of the universe is accelerating. Something, some dark energy, must be driving cosmic expansion.
Edwin Hubble’s original relation (left) compared to a modern measure of the Hubble parameter (right). Credits: Right: Robert P. Kirshner; Left: Edwin Hubble.
How a Type Ia supernova is formed. Credit: NASA, ESA and A. Feild (STScI)
Light curves of Type Ia supernovae. Credits: Hamuy, et al. 1994, Kim 2004
A comparison of supernova evolution with cosmic expansion. Credit: Kang, Yijung, et al.
Since the 1960s, scientists have theorized that the Universe is filled with a mysterious, invisible mass. Known as“dark matter“, this mass is estimated to make up roughly 85% of the matter in the Universe and a quarter of its energy density. While this mass has been indirectly observed and studied, all attempts at determining its true nature have so far failed.
According to supersymmetry, dark-matter particles known as neutralinos (which are often called WIMPs) annihilate each other, creating a cascade of particles and radiation that includes medium-energy gamma rays. Credit: Sky & Telescope / Gregg Dinderman.
The XENON experiment is a 3500kg liquid xenon detector to search for the elusive Dark Matter. A film produced by the XENON Collaboration directed by: Luigi Di Carlo & Eleonora Sasso screenplay: Eleonora Sasso photography: Luigi Di Carlo Editing: LDC audiovisivi Disclaimer: The XENON Collaboration if you'd like to learn more about XENON project go to
The XENON Experiment underground, showing the water tank (left) and the three-story service building (right). Credit: the Xenon Experiment.
<
To date, astronomers have managed to find evidence of dark matter clumps around medium and large galaxies. Using data from the Hubble Space Telescope and a new observing technique, a team of astronomers from UCLA and NASA JPL found that dark matter can form much smaller clumps than previously thought. These findings were presented this week at the 235th meeting of the American Astronomical Society (AAS).
A computer simulation of the distribution of matter in the universe. Orange regions host galaxies; blue structures are gas and dark matter. Credit: TNG Collaboration
r>
Hubble images of a background quasar and its host galaxy surrounding the central core of a foreground massive galaxy. Credit: NASA/ESA/A. Nierenberg (JPL)/T. Treu (UCLA)
Distribution of dark matter when the Universe was about 3 billion years old, showing the continuous distribution of dark matter particles (left) and dark matter halos (right). Credit: VIRGO Consortium/Alexandre Amblard/ESA
mage from Dark Universe, showing the distribution of dark matter in the universe. Credit: AMNH
Scientists know dark matter exists because of its interaction via gravity with visible matter like stars and planets. Credit: University of York
Artist’s impression of two baryons, composed of three quarks each, that combine to form a hexaquark. Credit: University of Edinburgh
Most of the universe is made of one of two kinds of mysterious substances, called dark matter and dark energy. From all the evidence, these two cosmic components only interact with “normal” matter through the gravitational force. And a recent nuclear experiment reveals no presence of any dark contamination in the bonds between atomic nuclei to a level twenty times better than previously recorded.
Full podcast episodes: Support: Follow: and Why is the strong force better known as the “color force”? What’s the best way to think about protons and quarks? What do the Three Musketeers have to do with anything? I discuss these questions and more in today’s Ask a Spaceman! Follow all the show updates at and help support the show at Keep those questions about space, science, astronomy, astrophysics, and cosmology coming to #AskASpaceman for COMPLETE KNOWLEDGE OF TIME AND SPACE! Music by Jason Grady and Nick Bain. License Creative Commons Attribution license (reuse allowed)
Astronomers have to be extra clever to map out the invisible dark matter in the universe. Recently, a team of researchers have improved an existing technique, making it up to ten times better at seeing in the dark. Dark matter is frustratingly difficult to measure. It’s completely invisible: it simply doesn’t interact with light (or normal matter) in any way, shape, or form. But we know that dark matter exists because of its gravitational influence on everything around it – including the normal matter that makes up stars and galaxies.
Full podcast episodes: Support: Follow: on twitter Follow on Facebook What are galaxy clusters made of, besides galaxies? How can we use them to understand dark matter? And how can we make pretend ones on a computer? Follow all the show updates at and help support the show at Patreon Keep those questions about space, science, astronomy, astrophysics, and cosmology coming to #AskASpaceman for COMPLETE KNOWLEDGE OF TIME AND SPACE! Music by Jason Grady and Nick Bain.
The theory of general relativity is packed with strange predictions about how space and time are affected by massive bodies. Everything from gravitational waves to the lensing of light by dark matter. But one of the oddest predictions is an effect known as frame-dragging. The effect is so subtle it was first measured just a decade ago. Now astronomers have measured the effect around a white dwarf, and it tells us how some supernovae occur.
An illustration of frame dragging. Credit: Simon Tyran, via Wikipedia
The precession effect of Gravity Probe B. Credit: Gravity Probe B Team, Stanford, NASA
Parkes radio telescope viewed from the visitor’s area. Credit: Stephen West
Rotating black holes are the most powerful phenomenon in the known Universe. Their powerful gravity radically alters the curvature of spacetime around them, leading to relativistic effects like time dilation, light distortion, and for matter and photons to infall around them, forming accretion disks. In the case of supermassive black holes (SMBHs) at the center of galaxies, these disks are accelerated to close to the speed of light and emit powerful radiation that temporarily outshines all the stars in the disks.
Frame dragging, also known as the Lense-Thirring effect or the dragging of inertial frames, is a phenomenon predicted by Albert Einstein's theory of general relativity. It describes the effect of a rotating massive object on the spacetime fabric around it, causing nearby objects and reference frames to be "dragged" or influenced by the rotation. This effect is most pronounced near extremely massive, rapidly spinning objects like black holes.
However, as Pinochet explored in his paper, the original theory is impractical since it would require extremely high velocity, precision, and timing. A far more promising method, he notes, is to harness the energy released by the accretion disks that orbit black holes just beyond their Event Horizon:
Our universe is best described by the LCDM model. That is an expanding universe filled with dark energy (Lambda), and dense clumps of cold dark matter (CDM). It is also sprinkled with regular matter that makes up planets, stars, and us, but that only makes up about 4% of the cosmos. While we don’t know what dark matter and dark energy are, we know how they behave, so the ?CDM model works exceptionally well. There’s just one small problem.
Different measures of the universe give slightly different values for dark matter, and dark energy. Credit: ESO
Diagram showing evolution of the Universe according to the paradigm of Loop Quantum Origins. Credit: APS/A. Stonebraker
We don’t quite understand how the first supermassive black holes formed so quickly in the young universe. So a team of physicists are proposing a radical idea. Instead of forming black holes through the usual death-of-a-massive-start route, instead giant dark matter halos directly collapsed, forming the seeds of the first great black holes.
Full podcast episodes: Support: Follow: Follow: on twitter Follow:on Facebook Watch on YouTube: How did the universe begin? How will it end? What’s going on in here and how did we learn all this? I discuss these questions and more in today’s Ask a Spaceman! Go on an adventure: Follow all the show updates at and help support the show at Keep those questions about space, science, astronomy, astrophysics, and cosmology coming to #AskASpaceman for COMPLETE KNOWLEDGE OF TIME AND SPACE! Music by Jason Grady and Nick Bain. License Creative Commons Attribution license (reuse allowed)
In the classical theory of general relativity, black holes are relatively simple objects. They can be described by just three properties: mass, charge, and rotation. But we know that general relativity is an incomplete theory. Quantum mechanics is most apparent in the behavior of tiny objects, but it also plays a role in large objects such as black holes. To describe black holes at a quantum level, we need a theory of quantum gravity. We don’t have a complete theory yet, but what know so far is that quantum mechanics makes black holes more complex, giving them properties such as temperature and perhaps even pressure.
The entropy of a black hole is related to the area of the event horizon. Credit: Jacob D. Bekenstein
It’s that time again. Time to look at a possible model to explain dark matter. In this case, a perennial favorite known as primordial black holes. Black holes have long been proposed as the source of dark matter. In many ways, they are the perfect candidate because they only interact with light and matter gravitationally. But stellar-mass black holes have been ruled out observationally. There simply aren’t enough of them to account for dark matter.
The James Webb telescope could discover evidence of primordial black holes in the near future. Credit: ESA
The World’s Most Sensitive Dark Matter Detector has Come Online Some of the team members responsible for the LUX-ZEPLIN experiment. Credit – Matthew Kapust
Whenever I mention dark matter in anyway in the Guide to Space, or in a questions show, I get a bunch of responses that have essentially the same point. Astronomers are just speculating, why do they even think dark matter is a thing? Audio Podcast version: : RSS: Video Podcast version: RSS: What Fraser's Watching Playlist: Audio Podcast versions: ITunes: RSS: : Universetoday's youtube channel Sign up to my weekly email newsletter: Weekly Space Hangout: Astronomy Cast: Support us at:Support us at: Follow us on Tumblr: More stories at ---------------------------------------------------------------------- Follow us on Twitter: @universetoday Like us on Facebook: Instagram - Support us at:Support us at: Instagram - Team: Fraser Cain - @fcain / frasercain@gmail.com /Karla Thompson - @karlaii Chad Weber - Chloe Cain - Instagram: @chloegwen2001 Chloe Cain - Instagram: @chloegwen2001 References: The Dark History Of Dark Matter From Science Blogs: How Gravitational Lensing Shows Us Dark Matter! ALL-SKY MAP OF DARK MATTER DISTRIBUTION IN THE UNIVERSE PLANCK'S NEW COSMIC RECIPE What Astronomers Wish Everyone Knew About Dark Matter And Dark Energy From Time Blimp Neutrinos — how many are passing through us at any given time? he OSQAR experiment looks for particles that could be a component of dark matter and explain why our universe is made of matter instead of antimatter Shining Light Through Walls - Sixty Symbols Giant space magnet may have trapped antihelium, raising idea of lingering pools of antimatter in the cosmos Nobel Prize winner Sam Ting needs more evidence from space station's aging Alpha Magnetic Spectrometer IceCube Overview
Inside of the LZ’s main detector. This would normally be filled with liquid xenon. Credit – Matthew Kapust
Schematic (left) and illustration (right) of the LZ experiment in operation. credit – LZ Collaboration / LZ / SLAC
An artist's concept of a binary pair where a smaller star is feeding material to a neutron star. Perturbations in the neutron star may be sending a constant wash of gravitational waves through space. Courtesy Gabriel Pérez Díaz, SMM (IAC)
An artist’s conception of a neutron star shows a schematic of its magnetic field and possible jets of material escaping from the poles. In the Scorpius X-1 system, the neutron star is paired with a low-mass star. Material escapes from the smaller star onto the surface of the neutron star. irregularities in the surface of the neutron star may play a role in creating gravitational waves.Credit: Kevin Gill, Attribution 2.0 Generic (CC BY 2.0)
This is a composite image of the spiral galaxy Messier 77 (NGC 1068), as observed by ALMA Red are cyanide radicals concentrated mostly in the center and a large-scale ring-shaped gas structure, but also along the bipolar jets extending from the center towards the northeast (upper left) and southwest (lower right). Blue is carbon monoxide isotopes which avoid the central region. Image Credit: ALMA (ESO/NAOJ/NRAO), NASA/ESA Hubble Space Telescope, T. Nakajima et al.
This figure is from separate research and shows NGC 1068’s structure. The starburst ring is between the two dark blue lines and contains many super star clusters (SSCs.) SSCs are more luminous and more massive than other clusters. Image Credit: Rico-Vallas et al. 2021
This figure from the research illustrates NGC 1068’s structure. The left panel shows both the CND and the SBR. The right panel is zoomed in on the CND and the active galactic nuclei and also shows both knots. Image Credit: Nakajima et al. 2023.
This figure from the study compares column densities of each molecule in (a) 350 pc scale and (b) 60 pc scale. The bar graphs in red, blue, green, and black are for the CND (or AGN), the E-knot, the W-knot, and the SBR, respectively. The order of molecules is arranged in descending order from left to right based on the column density toward CND in (a) or AGN in (b). Image Credit: Nakajima et al. 2023.
This figure from the research shows fractional abundances relative to CS in (a) the 350 pc scale and (b) the 60 pc scale. Ratios over unity, which is indicated by the bold dashed line, represent the enhancement of molecular abundances relative to CS. The order of the molecules is arranged in descending order from left to right based on the difference between the CND and the SBR for (a) and between the AGN and the SBR for (b). Therefore, the molecules on the left side of CS are enhancements in the CND (or AGN) compared with the SBR; in contrast, those on the right side of CS are enhancements in the SBR. Image Credit: Nakajima et al. 2023.
A Venn Diagram of how the main theories of physics are interconnected. Credit: CMG Lee
A comparison of the quadratic gravity model with observations. Credit: Liu, et al.
WIMPs and MACHOs (PDF)
Report on Dark Energy Expansion (PDF)
Draft version January 22, 2020 Typeset using LATEX manuscript style in AASTeX63
The Gravity Probe B test of general relativity (PDF)
To cite this article: C W F Everitt et al 2015 Class. Quantum Grav. 32 224001
P>
When massive objects crash into each other, there should be a release of gravitational waves. So what are these things and how can we detect them? Sign up to my weekly email newsletter: Support us at:Support us at: : More stories at Follow us on Twitter: @universetoday Like us on Facebook: Google+ - Instagram - Team: Fraser Cain - @fcain / frasercain@gmail.com /Karla Thompson - @karlaii Chad Weber - Chloe Cain - Instagram: @chloegwen2001
We’ve now had multiple detections of gravitational waves, opening up a whole new field: gravitational astronomy. We talk about the detections made so far, and how we can see the Universe in a whole new way. Sign up to my weekly email newsletter: Support us at:Support us at: : More stories at Follow us on Twitter: @universetoday Like us on Facebook: Google+ - Instagram - Team: Fraser Cain - @fcain / frasercain@gmail.com /Karla Thompson - @karlaii Chad Weber - Chloe Cain - Instagram: @chloegwen2001
Ever since the first discovery of gravitational waves back in September 14th 2015, LIGO have been detecting more and more gravitational waves, ripples in the fabric of spacetime. In this video, we discuss the most recent gravitational wave detections. ►Click here to subscribe: ►Hosted by: David ►Share this video: If you want to read more: The Verge Space.com The verge fourth detection Wkipedia Gravitional Waves Latest gravitational wave isn't from neutron stars after all Music: “A Memory of Earth” by Markus Junnikkala
Full podcast episodes: Follow on Twitter: Like on Facebook: How do we measure the expansion history of the universe? Why are supernovae so dang useful? Come on, what’s with this “dark energy” business? I discuss these questions and more in today’s Ask a Spaceman! Support the show: All episodes: Follow on Twitter: : Like on Facebook Watch on YouTube: Keep those questions about space, science, astronomy, astrophysics, physics, and cosmology coming to #AskASpaceman for COMPLETE KNOWLEDGE OF TIME AND SPACE! Big thanks to my top Patreon supporters this month: Mathieu B., Justin G., Tim F., Helge B., Alan M., Tim R., Ray S., Michael C., Bill S., Lars H., David C., Silvan W., David B., Kevin O., Justin R., Jessica K., James L., and Michael Z.! Music by Jason Grady and Nick Bain. Thanks to WCBE Radio for hosting the recording session, Greg Mobius for producing, and Cathy Rinella for editing. Hosted by Paul M. Sutter, astrophysicist at The Ohio State University, Chief Scientist at COSI Science Center, and the one and only Agent to the Stars Category
Once this $35 million upgrade is in place, LIGO will start using something called quantum "squeezed light." So, what does that mean exactly? LIGO's Gravitational Wave Discovery Is Still In Question, But Why? - Read More: Gravitational-wave observatory LIGO set to double its detecting power "But the ALIGO+ upgrades will be more dramatic. If all goes to plan, LIGO will be able to detect neutron-star mergers that occur within 325 megaparsecs (around 1 billion light years) of Earth, says Ken Strain, a physicist at the University of Glasgow, UK, who leads a consortium of British universities that are expected to receive most of the UK money. That would nearly double the design sensitivity of 173 megaparsecs that LIGO expects to reach before the ALIGO+ upgrade." LIGO Receives New Funding to Search for More Extreme Cosmic Events "This award ensures that NSF's LIGO, which made the first historic detection of gravitational waves in 2015, will continue to lead in gravitational-wave science for the next decade," said Anne Kinney, assistant director for NSF's Mathematical and Physical Sciences Directorate, in a statement. " GET READY FOR GRAVITATIONAL WAVES ALL DAY, EVERY DAY Another strategy to collect more signals is to build more observatories. Detectors in different locations that register the same signal help the researchers confirm that it’s from a gravitational wave. In addition, more detectors provide more coverage of the universe. ____________________ Elements is more than just a science show. It’s your science-loving best friend, tasked with keeping you updated and interested on all the compelling, innovative and groundbreaking science happening all around us. Join our passionate hosts as they help break down and present fascinating science, from quarks to quantum theory and beyond. Seeker explains every aspect of our world through a lens of science, inspiring a new generation of curious minds who want to know how today’s discoveries in science, math, engineering and technology are impacting our lives, and shaping our future. Our stories parse meaning from the noise in a world of rapidly changing information. Visit the Seeker website Elements on Facebook Subscribe now! Visit the Seeker website Elements on Facebook Subscribe now! Seeker on Twitter Seeker on Facebook Seeker main site
First World Published on Apr 23, 2018 Principle of gravitational waves Documentary national geography 2018 Category
Anton Petrov Published on May 30, 2019 You can buy Universe Sandbox 2 game here: Hello and welcome! My name is Anton and in this video, we will talk about the new study that suggests gravitational waves may actually permanently change space-time around us affecting us all a lot more than previously thought. Paper here: Grace Database: Support this channel on Patreon to help me make this a full time job: Space Engine is available for free here: Enjoy and please subscribe. Twitter: Facebook: Twitch: Bitcoins to spare? Donate them here to help this channel grow! 1GFiTKxWyEjAjZv4vsNtWTUmL53HgXBuvu The hardware used to record these videos: CPU: Video Card: Motherboard: RAM: PSU: Case: Microphone: Mixer: Recording and Editing:
Max Planck Institute for Gravitational Physics 3.07K subscribers Join us on a journey into the depths of our Galaxy! Our Milky Way is home to hundreds of billions of stars. Roughly one star out of a few thousand is very special: It is a neutron star. Rapidly rotating neutron stars produce ripples in space-time: continuous gravitational waves. Detecting these waves will be a new tool for astrophysical observations. *Don't forget to activate the subtitles!* Learn more about our research: Join Einstein@Home: Credit: M.A. Papa, MPI for Gravitational Physics, Hannover
Subscribe now with all notifications for more stories about Space!🖤 Support us now and become a subscriber! Scientists FINALLY Found What's Inside a Black Hole