William Bacon's Homepages/Neutron Stars/Neutron stars Merger/Remains of supernova(s)



Locations of Site Visitors

Comments?????
Email the Webmaster!!!!!



This page was last updated on March 16, 2026


William Bacon's Neutron Stars/Merger/Supernova remains/ Page Index


INTRODUCTION

Status of the Deep Space Network

Information on Status of the Deep Space Network

About the Deep Space Network: Space Communications and Navigation

Information on About the Deep Space Network: Space Communications and Navigation

NASA's Digital Orrery

MAST: Barbara A. Mikulski Archive for Space Telescopes

Map of the Universe from Johns Hopkins University and others.....

Johns Hopkins University (JHU) continues to pad its space community résumé with their interactive map, “The map of the observable Universe”, that takes viewers on a 13.7-billion-year-old tour of the cosmos from the present to the moments after the Big Bang. While JHU is responsible for creating the site, additional contributions were made by NASA, the European Space Agency, the National Science Foundation, and the Sloan Foundation.

JWST's weekly observing schedule:

NASA's Unverse of Learning
An Integrated AstroPhisics STEM Learning and Literacy program

The Solar Ham

Neutron Stars, Pulsars, and Magnetars

Neutron Stars, Pulsars, and Magnetars are the most extreme objects in the Universe that aren't Black Holes. Their extreme densities make neutron stars the densest solid bodies in the Universe ultra-powerful magnetic fields. When these fields sweep along our line of sight, we see them as Pulsars. Some Pulsars have have extremely strong magnetic fields. We call these objects Magnetars. And when a Magnetar has a star quake, the most violent explosions this side of a Supernova take place. 🔔 Subscribe for more: : 🖖 Share this video with a fellow space traveler 🔴 Watch my most recent upload: 🚀 Help me improve the channel by joining the community on Patreon 🚀 Check out Launch Pad merchandise! Disclaimer: Some of these links go to one of my websites and some are affiliate links where I'll earn a small commission if you make a purchase at no additional cost to you. ✅ Let's connect: For business inquiries - Twitter - @launchpadastro Instagram - @launchpadastro Facebook - Discord -


Click here to return to top of page





Speculation





Neutron Stars Are Weirder Than We Ever Imagined



Scientists are detecting mysterious signals from some of the universe's most bizarre stellar remnants - neutron stars. This Astrum compilation explores these strange cosmic objects and the even stranger methods we use to study them - from radio pulses to antimatter, and even vibrations in space itself. ▀▀▀▀▀▀ 0:00 What Is This Repeating Radio Signal? 16:11 What Would Happen If You Stood On a Neutron Star? 19:06 Geminga Is Bombarding Us with Antimatter 44:25 NANOGrav Is Detecting Spacetime Ripples 59:16 Are LFBOTs Kilonova Explosions? ▀▀▀▀▀▀ Sign up here: Astrum's newsletter has launched! Want to know what's happening in space? ▀▀▀▀▀▀ Astrum Displate Posters: Astrum Infographic Artwork: Astrum Merch: Join us on the Astrum discord: / discord A huge thanks to our Patreons who help make these videos possible. Sign-up here to support the channel: ▀▀▀▀▀▀ Astrum Podcast on Spotify: Astrum Space: / @astrumspace (youtube channel) Astrum Earth: / @astrumearth (youtube channel) ▀▀▀▀▀▀ Credits: Video Editors: James Horsley, Nathália Huzian, Suhith, Alex McColgan Writers: Ansh Bhatnagar, Michelle Babcock Thumbnail Designer: Peter Sheppard Channel Manager: Georgina Brenner Production Manager: Raquel Taylor Head of Astrum: Jess Jordan Creator of Astrum: Alex McColgan With special thanks to: NASA/ESO/ESA


Click here to return to top of this page


Some of Earth’s Gold Came From Two Neutron Stars That Collided Billions of Years Ago


For about a century now, scientists have theorized that the metals in our Universe are the result of stellar
nucleosynthesis . This theory states that after the first stars formed, heat and pressure in their interiors led to the creation of heavier elements like silicon and iron. These elements not only enriched future generations of stars (“metallicity”), but also provided the material from which the planets formed.

An artist’s conception of two neutron stars, moments before they collide. Credit: NASA


Astronomers See Strontium in the Kilonova Wreckage, Proof that Neutron Star Collisions
Manufacture Heavy Elements in the Universe



Astronomers have spotted Strontium in the aftermath of a collision between two neutron stars. This is the first time a heavy element has ever been identified in a kilonova, the explosive aftermath of these types of collisions. The discovery plugs a hole in our understanding of how heavy elements form.


This chart shows the sprawling constellation of Hydra (The Female Sea Serpent), the largest and longest constellation in the sky. Most stars visible to the naked eye on a clear dark night are shown. The red circle marks the position of the galaxy NGC 4993, which became famous in August 2017 as the site of the first gravitational wave source that was also identified in light visible light as the kilonova GW170817. NGC 4993 can be seen as a very faint patch with a larger amateur telescope. Image Credit: ESO, IAU and Sky & Telescope



Neutron star merger animation and elements formed in these events



This artist’s impression shows two tiny but very dense neutron stars merging and exploding as a kilonova. Such objects are the main source of very heavy chemical elements, such as gold and platinum, in the Universe. The detection of one element, strontium (Sr), has now been confirmed using data from the X-shooter instrument on ESO’s Very Large Telescope. : More information and download options



Animation of spectra of kilonova in NGC 4993



This animation is based on a series of spectra of the kilonova in NGC 4993 observed by the X-shooter instrument on ESO's Very Large Telescope in Chile. They cover a period of 12 days after the initial explosion on 17 August 2017. The kilonova is very blue initially but then brightens in the red and fades. More information: Credit: ESO/E. Pian et al./S. Smartt & ePESSTO/L. Calçada


On 17 August 2017, the Laser Interferometer Gravitational-Wave Observatory (LIGO) and the Virgo Interferometer both detected gravitational waves from the collision between two neutron stars. Within 12 hours observatories had identified the source of the event within the lenticular galaxy NGC 4993, shown in this image gathered with the NASA/ESA Hubble Space Telescope. The associated stellar flare, a kilonova, is clearly visible in the Hubble observations. This is the first time the optical counterpart of a gravitational wave event was observed. Hubble observed the kilonova gradually fading over the course of six days, as shown in these observations taken in between 22 and 28 August (insets). By ESA/Hubble, CC BY 4.0, Wikipedia location


Young stars are typically surrounded by a disk of gas and dust, called a protoplanetary disk. Credit: NASA/JPL-Caltech


Carl Sagan - Cosmos- Stars - We Are Their Children



Carl Sagan - Ep 9 - Stars - We Are Their Children


Two White Dwarfs Merged Together Into a Single “Ultramassive” White Dwarf



An artist’s impression of two white dwarfs in the process of merging. Depending on the combined mass, the system may explode in a thermonuclear supernova, or coalesce into a single heavy white dwarf, as with WDJ0551+4135. Image: Copyright University of Warwick/Mark Garlick


Artist’s Impression of the Herschel Space Telescope. Credit: ESA


Artist impression of colliding white dwarfs. Credit: CfA


An illustration of two white dwarfs on the brink of a merger. Material is starting to stream from one star to the other, beginning the process that may end with a spectacular supernova explosion. Credit: David A. Aguilar (CfA)


Artist’s impression of a supernova. If two white dwarfs are massive enough when they merge, they’ll explode as a supernova. Credit: NASA


Click here to return to top of this page





Only A Supercomputer Can Understand the Extremely Energetic Chaos of a Neutron Star Merger

This artist's illustration shows a pair of merging neutron stars. These mergers result in kilonova explosions, and leave behind either a more massive neutron star or a black hole. Researchers used supercomputers to simulate this type of event observe the pair's magnetic fields as they become intertwined, and what type of electromagnetic signals they emit. Image Credit: , By University of Warwick/Mark Garlick, CC BY 4.0

*Explaining everything in this figure would mean plunging deeply into a rabbit hole, but it's basically showing how different alignments of the pair of neutron stars affects the magnetic fields. Above each column is a box with two arrows, illustrating different alignment configurations simulated in the work. Each row represents a different time in the merger, as indicated in a box on the right of each row. The complicated entwined magnetic fields are clear to see. Image Credit: D. Skiathas et al. 2025. ApJ*

This screenshot from the simulations shows a pair of neutron stars as they merge. The brighter colours are where the highest-energy emissions originate. Some of these gamma-ray photons are trillions of times more energetic than optical light, but according to the research, none of them can escape. The curved magnetic fields convert the photons to a pair particles: a positron and an electron. However, less energetic gamma-ray photons and x-ray photons can be detected. Image Credit: NASA’s Goddard Space Flight Center/D. Skiathas et al. 2025*

Supercomputer Traces Neutron Stars’ Magnetic Tango

New simulations performed on NASA’s Pleiades supercomputer are providing scientists with the most comprehensive look yet into the interacting magnetic structures around city-sized neutron stars in the moments before they crash. The team identified potential signals emitted during the stars’ final moments that may be detectable by future observatories. Just before orbiting neutron stars merge, the magnetic fields and plasma around them, called magnetospheres, become entangled. The new simulations studied the last several orbits before the merger, when the magnetospheres undergo rapid and dramatic changes, and modeled potentially observable high-energy signals. Neutron star mergers produce a particular type of GRB (gamma-ray burst), the most powerful class of explosions in the cosmos. They create near-light-speed jets that emit gamma rays, powerful ripples in space-time called gravitational waves, and a so-called kilonova explosion that forges heavy elements like gold and platinum. So far, only one event, observed in 2017, has connected all three phenomena. Neutron stars pack more mass than our Sun into a ball about 15 miles (24 kilometers) across, roughly the length of Manhattan Island in New York City. Born out of supernova explosions, neutron stars can spin dozens of times a second and wield some of the strongest magnetic fields known, up to 10 trillion times stronger than a refrigerator magnet. That’s strong enough to directly transform gamma-rays into electrons and positrons and rapidly accelerate them to energies far beyond anything achievable in particle accelerators on Earth. In the simulations, which were performed on the Pleiades supercomputer at NASA’s Ames Research Center in California’s Silicon Valley, the linked magnetospheres behave like a magnetic circuit that continually rewires itself as the stars orbit. Field lines connect, break, and reconnect while currents surge through plasma moving at nearly the speed of light, and the rapidly varying fields can accelerate particles to high energies. The team ran hundreds of simulations of a system of two orbiting neutron stars, each with 1.4 solar masses. The goal was to explore how different magnetic field configurations affected the way electromagnetic energy light in all of its forms left the coalescing system. The research shows that the emitted light varies greatly in brightness and is not distributed evenly, so what a far-away observer might detect depends greatly on their perspective on the merger. In addition, the way the signals strengthen as the stars get closer and closer depends on the relative magnetic orientations of the neutron stars. If next-generation gravitational wave observatories can provide an early warning, future ground-based gamma-ray telescopes will be able to team up with space-based X-ray and gamma-ray telescopes to begin searching for the pre-merger emission seen in these simulations. Routine observation of events like these using two different “messengers” — light and gravitational waves — will provide a major leap forward in understanding this class of GRBs. Music credit: “A Theory Develops,” Pip Heywood [PRS], Universal Production Music Credit: NASA's Goddard Space Flight Center Scott Wiessinger (eMITS): Producer/editor Scott Wiessinger (eMITS): Narrator Francis Reddy (University of Maryland College Park):Science Writer This video can be freely shared and downloaded at While the video in its entirety can be shared without permission, the music and some individual imagery may have been obtained through permission and may not be excised or remixed in other products. Specific details on such imagery may be found here: For more information on NASA’s media guidelines, visit https://www.nasa.gov/nasa-brand-cente.... If you liked this video, subscribe to the NASA Goddard YouTube channel: subscribe to the NASA Goddard YouTube channel: Follow NASA’s Goddard Space Flight Center · Instagram · Twitter-(Now x) NASA GODDARD · Twitter (Now X)-NASA GODDARD PICS · Facebook: · Flickr


Click here to Click here to Associated pages from universetoday



Click here to return to top of page


Kilonova




An Extremely Rare Gamma Ray Emitting Neutron Star Binary Has Been Found



Neutron stars are one of the most fascinating astronomical objects in the known Universe. In addition to being the densest type of star (with the possible exception of quark stars), they have also been known to form binary pairs with massive stars. To date, only 39 such systems have been discovered, and even fewer have been detected that were composed of a massive star and a very high energy (VHE) gamma-ray neutron star.


Artist’s impression of the exotic double object that consists of a tiny neutron star orbited by a more massive star. Credit: ESO/L. Calçada



Gamma Ray Producing Cherenkov Radiation in Earth's Atmosphere



Computer simulation of a very-high-energy gamma ray interacting in the atmosphere. Gamma rays above 100 GeV, giga electron volts, are produced near pulsars, neutron stars and super-massive black holes, and bombard Earth at a rate of about 100 million per second. The animation shows that a shower of high-energy particles (mostly electrons and positrons) is produced by the initial interaction of the gamma ray with a molecule in the atmosphere. Those particles that travel faster than the speed of light in air, emit a bluish light called Cherenkov light. Cherenkov light from gamma rays and other high-energy particles is detected by specialized ground-based telescopes, such as VERITAS, HESS, MAGIC, and CANGAROO in search of the origin of extreme cosmic particle accelerators.


Artist’s impression of the exotic double object that consists of a tiny neutron star orbited by a more massive star. Credit: ESO/L. Calçada

  • Click here to jump to the associated pages from Universetoday



  • Click here to return to top of this page






    The Most Massive Neutron Star has been Found.
    It’s ALMOST the Most Massive Neutron Star That’s Even Possible




    Neutron stars are the end-state of massive stars that have spent their fuel and exploded as supernovae. There’s an upper limit to their mass, because a massive enough star won’t become a neutron star; it’ll become a black hole. But finding that upper mass limit, or tipping point, between a star that becomes a black hole and one that becomes a neutron star, is something astronomers are still working on.


    Artist impression of the pulse from a massive neutron star being delayed by the passage of a white dwarf star between the neutron star and Earth. Credit: BSaxton, NRAO/AUI/NSF



    Cross-section of a neutron star. Credit: Wikipedia Commons/Robert Schulze


    Neutron Star Measures Just 22 Kilometers Across



    How big is a neutron star? These extreme, ultra-dense collapsed stars are fairly small, as far as stellar objects are concerned. Even though they pack the mass of a full-sized star, their size is often compared to the width of a medium-to-large-sized city. For years, astronomers have pegged neutron stars at somewhere between 19-27 km (12 to 17 miles) across. This is quite actually quite precise, given the distances and characteristics of neutrons stars. But astronomers have been working to narrow that down to an even more precise measurement.


    Afterglow of GW170817 is shown in close-ups captured by the NASA Hubble Space Telescope, showing it dimming in brightness over days and weeks. CREDIT: NASA and ESA: A. Levan (U. Warwick), N. Tanvir (U. Leicester), and A. Fruchter and O. Fox (STScI) The object of this team’s study is rather famous: the binary neutron star merger GW170817 which created the gravitational waves detected in 2017 by the LIGO (Laser-Interferometer Gravitational Wave Observatory) and Virgo consortium. This object has been studied numerous times by multiple telescopes, including the Fermi satellite, the Hubble Space Telescope and other telescopes and observatories around the world. All those observations gave the Max Planck team a boatload of data to work with.


    Artist’s illustration of two merging neutron stars. The narrow beams represent the gamma-ray burst while the rippling spacetime grid indicates the isotropic gravitational waves that characterize the merger. Swirling clouds of material ejected from the merging stars are a possible source of the light that was seen at lower energies. Credit: National Science Foundation/LIGO/Sonoma State University/A. Simonnet



    NASA Just Discovered a Neutron Star That Shouldn't Exist



    Before you is one of the fastest objects in the universe. Its rotational speed is hundreds of times greater than that of a helicopter’s blades, and its mass is nearly 2.5 times that of the Sun. Yet, despite this immense mass, its size would allow it to easily fit within the boundaries of New York City. This is pulsar J0952-0607, the heaviest neutron star ever discovered by scientists. It spins at 707 revolutions per second. That is faster than the blades of your kitchen blender or an aircraft turbine. Faster than anything you can imagine. But what makes it spin at such an incredible speed? It requires energy. And the pulsar has an energy source: a white dwarf, the remnant of a star that once shone but has now fallen victim to its companion. The white dwarf is too close to the pulsar. Due to the immense gravity and powerful radiation, its matter begins to strip away, turning into a stream of superheated plasma that rushes directly toward the neutron star. The pulsar absorbs this material, gaining even more energy for its rotation and radiation. Meanwhile, the white dwarf rapidly loses mass, becoming dimmer and weaker. It is practically evaporating, surrendering its matter to its more powerful companion. But this process is dangerous even for the pulsar itself. Gradually, it accumulates matter and approaches its critical mass. If it exceeds this limit, its matter will no longer be able to resist its own gravity; in which case the pulsar risks collapsing into a black hole. We are on social media: / destinymediaa The Destiny voice:


    Click here to return to top of this page





    Astronomers Finally Find the Neutron Star Leftover from Supernova 1987A




    Astronomers at Cardiff University have done something nobody else has been able to do. A team, led by Dr. Phil Cigan from Cardiff University’s School of Physics and Astronomy, has found the neutron star remnant from the famous supernova SN 1987A. Their evidence ends a 30 year search for the object.


    A close-up view of different components in the SN 1987A system: carbon monoxide molecular gas is shown in orange, hot hydrogen gas is shown in purple, and the dust which surrounds the neutron star is shown in cyan. Credit Cardiff University


    Artistic rendering of a neutron star enveloped by a shroud of dust and gas. Credit: Cardiff University


    A 1987 image of SN 1987A in the Large Magellanic Cloud, taken by the Kuiper Airborne Observatory. Image Credit: By NASA/Ames Research Center


    A 2010 Hubble image of SN 1987A showing the expanding shock-wave of material, slamming into surrounding material and heating it up, causing it to shine. Image Credit: By NASA Goddard Space Flight Center from Greenbelt, MD, USA




    Click here to return to top of this page





    Can Neutron stars be Squeezed?




    How Squeezable are Neutron Stars?



    Two neutron stars. One is 50% more massive than the other, yet they are almost exactly the same size. The results have big implications for understanding what neutron stars are really made of.



    What are Neutron Stars? - Ask a Spaceman!



    Full podcast episodes: Support: @ Patreon Follow: @ Twitter and Follow: @ Facebook It’s time for school! The Astro101 series will cover some of the most important questions in astronomy. In today’s lesson, we’ll have: What is a white dwarf? What is a neutron star? What is a black hole? I discuss these questions and more in today’s Ask a Spaceman! Follow all the show updates at and help support the show at Keep those questions about space, science, astronomy, astrophysics, and cosmology coming to #AskASpaceman for COMPLETE KNOWLEDGE OF TIME AND SPACE! Music by Jason Grady and Nick Bain.



    Click here to return to top of this page



    The Expanding Debris Cloud From the Kilonova Tells the Story of What Happens When Neutron Stars Collide

    When two neutron stars collide, it creates a kilonova. The event causes both gravitational waves and emissions of electromagnetic energy. In 2017 the LIGO-Virgo gravitational-wave observatories detected a merger of two neutron stars about 130 million light-years away in the galaxy NGC 4993. The merger is called GW170817, and it remains the only cosmic event observed in both gravitational waves and electromagnetic radiation.

    This is the first optical image ever to show an event initially detected as a Gravitational Wave (GW), designated GW170817, pictured left. Afterglow, designated as SSS17a, is left over from the explosion of two neutron stars that collided in galaxy NGC 4993 (shown centre). Only 10.9 hours after triggering the largest astronomical search in history, the Swope 1-m telescope at the Las Campanas Observatory in Chile discovered GW170817’s afterglow. Four days later, the image on the right shows afterglow dimming in brightness and changing from blue to red. CREDIT: Las Campanas Observatory, Carnegie Institution of Washington (Swope + Magellan)

    On 17 August 2017, the Laser Interferometer Gravitational-Wave Observatory (LIGO) and the Virgo Interferometer detected gravitational waves from the collision between two neutron stars. Within 12 hours, observatories identified the event’s source within the lenticular galaxy NGC 4993, shown in this image gathered with the NASA/ESA Hubble Space Telescope. The associated stellar flare, a kilonova, is visible in the Hubble observations. This is the first time astronomers have observed the optical counterpart of a gravitational wave event. Hubble observed the kilonova gradually fading over six days, as shown in these observations taken between 22 and 28 August (insets). Image Credit: Hubble/NASA/ESA

    Astrophysicists know that black holes emit electromagnetic radiation in x-ray wavelengths. The Chandra X-ray Observatory has imaged many of them. This Chandra image shows Centaurus A, which is not part of this study but is the site of a supermassive black hole, shining brightly. Credit: X-ray: NASA/CXC/U.Birmingham/M.Burke et al.

    In 2019 a team of European researchers, using data from the X-shooter instrument on ESO’s Very Large Telescope, found signatures of strontium formed in the GW170817 neutron-star merger. This artist’s impression shows two tiny but dense neutron stars when they merge and explode as a kilonova. In the foreground, we see a representation of freshly created strontium. Image Credit: ESO/L. Calçada/M. Kornmesser

    Click here to Jump to associated pages from Universetoday



    Click here to return to top of page



    Neutron Stars Could be the Best way to Measure Dark Energy

    Dark energy is central to our modern theory of cosmology. We know the universe is expanding at an ever-increasing rate, and the clearest explanation is that some kind of energy is driving it. Since this energy doesn’t emit light, we call it dark energy. But simply giving dark energy a name doesn’t mean we fully understand it. We can see what dark energy does, but its fundamental nature is perhaps the biggest scientific mystery we have.

    In general relativity, acceleration is equivalent to gravity. Credit: Markus Poessel, via Wikipedia

    A scalar field enhances some gravitational wave modes for merging neutron stars. Credit: Bezares, et al


    Click here to Jump to associated pages from Universetoday



    Click here to return to top of page



    Gravitational Waves Will Give Astronomers a new way to Look Inside Neutron Stars

    Illustration showing the merger of two neutron stars. Credit: NASA's Goddard Space Flight Center/CI Lab

    Gravitational waves give a relation between neutron star mass and size. Credit: Pratten, et al



    Click here to Associated pages from Universetoday




    Click here to return to top of page



    Colliding Neutron Stars can Generate Long Gamma-ray Bursts

    Artist's illustration of a bright gamma-ray burst occurring in a star-forming region and beaming out energy into two narrow, oppositely directed jets. Image Credit: By NASA/Swift/Mary Pat Hrybyk-Keith and John Jones - [1]Transferred from en.wikipedia to Commons by TheDJ using CommonsHelper. Public Domain, - Wikipedia

    This artist’s impression shows two tiny but very dense neutron stars at the point at which they merge and explode as a kilonova. These events produce short gamma-ray bursts and gravitational waves. A new study shows that kilonovae can also produce long gamma-ray bursts like supernovae can. Image Credit: By University of Warwick/Mark Garlick, CC BY 4.0,

    This illustration shows the setup for the most common type of gamma-ray burst. The core of a massive star (left) has collapsed and formed a black hole. This “engine” drives a jet of particles that moves through the collapsing star and out into space at nearly the speed of light. The prompt emission typically lasts a minute or less. The afterglow emission occurs as the leading edge of the jet sweeps up its surroundings (creating an external shock wave) and emits radiation across the spectrum for months or even years. Image Credit: By NASA/Goddard Space Flight Center/ICRAR.

    The Swift Observatory was launched in 2004 to study GRBs and their afterglow. Image Credit: NASA/Goddard Space Flight Center.

    This figure from the study shows the GRB’s light curves observed by both the Swift Observatory and the Fermi Observatory. The bursts lasted longer than any other bursts from a kilonova. Image Credit: Rastinejad et al. 2022.

    NASA’s Fermi, Swift Capture Revolutionary Gamma-Ray Burst

    On Dec. 11, 2021, NASA’s Neil Gehrels Swift Observatory and Fermi Gamma-ray Space Telescope detected a blast of high-energy light from the outskirts of a galaxy around 1 billion light-years away. The event has rattled scientists’ understanding of gamma-ray bursts (GRBs), the most powerful events in the universe. This burst is called GRB 211211A. Many research groups have delved into the observations collected by Swift, Fermi, the Hubble Space Telescope, and others. Some have suggested the burst’s oddities could be explained by the merger of a neutron star with another massive object, like a black hole. Music Credits: Finished Plate by Airglo and Binary Fission by Tom Kane Credit: NASA's Goddard Space Flight Center Sophia Roberts (AIMM): Lead Producer Jeanette Kazmierczak (University of Maryland College Park): Lead Science Writer Francis Reddy (University of Maryland College Park): Science Writer Aurore Simonet (Sonoma State University): Artist Scott Wiessinger (KBRwyle): Animator This video can be freely shared and downloaded at . While the video in its entirety can be shared without permission, the music and some individual imagery may have been obtained through permission and may not be excised or remixed in other products. Specific details on such imagery may be found here: . . --- If you liked this video, subscribe to the NASA Goddard YouTube channel: subscribe to the NASA Goddard YouTube channel: Follow NASA’s Goddard Space Flight Center · Instagram · Twitter- NASA GODDARD · Twitter-NASA GODDARD PICS · Facebook: · Flickr

    Two neutron stars begin to merge in this illustration, blasting a jet of high-speed particles and producing a cloud of debris. Scientists think these kinds of events are factories for a significant portion of the Universe’s heavy elements, including gold. Image Credit: A. Simonnet (Sonoma State Univ.) and NASA’s Goddard Space Flight Center

    This image from the study shows the Hubble image of the galaxy that hosts it and the location of the GRB identified by the Swift X-Ray Telescope (XRT.) The zoomed-in boxes show observations with other telescopes and filters. Image Credit: Rastinejad et al. 2022.


    Click here to Click here to Jump to Associated pages from universetoday



    Click here to return to top of page




    Neutron Stars Could be Heating Up From Dark Matter Annihilation

    Artist’s impression of the magnetar in the star cluster Westerlund 1. Credit: ESO/L. Calçada


    Click here to Click here to Jump to Associated pages from universetoday



    Click here to return to top of page






    Articles




    Pages from Universe today




    Bizarre Star Could be the Result of Two White Dwarfs Merging Together









    Timelapse Shows the Glowing Wreckage from Supernova 1987a Expanding Outward Over 30 Years









    Astronomers are Continuing to Watch the Shockwaves Expand from Supernova SN1987A, as they Crash Into the Surrounding Interstellar Medium









    Astronomers See Evidence of Supermassive Black Holes Forming Directly in the Early Universe







    Supercomputer Simulation Shows a Supernova 300 Days After it Explodes






    Click here to return to top of Aricles sub section



    Click here to return to top of page


    An Extremely Rare Gamma Ray Emitting Neutron Star Binary Has Been Found

    Universetoday's CATEGORY: ASTRONOMY

    Universetoday's TAG: BINARY STAR SYSTEMS

    Universetoday's TAG: CHERENKOV RADIATION

    Universetoday's TAG: FEATURED

    Universetoday's TAG: GAMMA-RAY NEUTRON STAR

    Universetoday's TAG: PULSARS

    Universetoday's TAG: VERITAS

    Universetoday's TAG: VERY ENERGETIC RADIATION IMAGING TELESCOPE ARRAY SYSTEM

    How Squeezable are Neutron Stars?

    Universetoday's CATEGORY: NEUTRON STAR

    Universetoday's TAG: NEUTRON STARS



    Click here to return to top of Aricles sub section


    Click here to return to An Extremely Rare Gamma Ray Emitting Neutron Star Binary Has Been Found paragraph



    Click here to return to top of this page


    HR>

    The Expanding Debris Cloud From the Kilonova Tells the Story of What Happens When Neutron Stars Collide

    Did a Gamma Ray Burst Accompany LIGO’s Gravity Wave Detection?

    Astronomers See Strontium in the Kilonova Wreckage, Proof that Neutron Star Collisions Manufacture Heavy Elements in the Universe

    Hubble Has Looked at the 2017 Kilonova Explosion Almost a Dozen Times, Watching it Slowly Fade Away

    Universe Today's CATEGORY: ASTRONOMY

    Universe Today's CATEGORY: GRAVITATIONAL WAVES

    Universe Today's CATEGORY: NEUTRON STAR

    Universe Today's TAG: BLACK HOLES

    Universe Today's TAG: GRAVITATIONAL WAVES

    Universe Today's TAG: KILONOVA

    Universe Today's TAG: NEUTRON STAR MERGERS

    Universe Today's TAG: X-RAYS


    Click here to return to The Expanding Debris Cloud From the Kilonova Tells the Story of What Happens When Neutron Stars Collide sub section



    Click here to return to top of Aricles sub section



    Click here to return to top of page




    Neutron Stars Could be the Best way to Measure Dark Energy

    Universe today's CATEGORY: ASTRONOMY

    Universe today's CATEGORY: DARK ENERGY

    Universe today's TAG: GENERAL RELATIVITY

    Universe today's TAG: NEUTRON STARS


    Click here to Return to top of Articles subsection



    Click here to Return to Neutron Stars Could be the Best way to Measure Dark Energy sub section



    Click here to Return to top of this page




    Gravitational Waves Will Give Astronomers a new way to Look Inside Neutron Starsx

    Universe Today's CATEGORY: GRAVITATIONAL WAVES

    Universe Today's TAG: LIGO SCIENTIFIC COLLABORATION AND VIRGO COLLABORATION

    Universe Today's TAG: NEUTRON STARS


    Click here to Return to top of this page



    Click here to Return to top of this article subsection



    Click here to Return to Gravitational Waves Will Give Astronomers a new way to Look Inside Neutron Stars subsection



    Colliding Neutron Stars can Generate Long Gamma-ray Bursts

    The Expanding Debris Cloud From the Kilonova Tells the Story of What Happens When Neutron Stars Collide

    Universe today's CATEGORY: ASTRONOMY

    Universe today's CATEGORY: GAMMA RAY BURSTS

    Universe today's CATEGORY: NEUTRON STAR

    Universe today's TAG: GAMMA RAY BURSTS

    Universe today's TAG: HEAVY ELEMENTS

    Universe today's TAG: KILONOVAE

    Universe today's TAG: SUPERNOVAE



    Click here to Return to top of this articles subsection





    Click here to Jump to Top of this page





    Click here to Return to the Colliding Neutron Stars can Generate Long Gamma-ray Bursts subsection






    Neutron Stars Could be Heating Up From Dark Matter Annihilation



    Universe Today's CATEGORY: NEUTRON STAR

    Universe Today's TAG: DARK MATTER ANNIHILATION



    Click here to Return to top of this articles subsection





    Click here to Jump to Top of this page





    Click here to Return to the Neutron Stars Could be Heating Up From Dark Matter Annihilation subsection




    Only A Supercomputer Can Understand the Extremely Energetic Chaos of a Neutron Star Merger


    Click here to return to top of this articles subsection



    Click here to return to Only A Supercomputer Can Understand the Extremely Energetic Chaos of a Neutron Star Merger subsection



    Click here to return to top of page





    FlatArticles




    The Shapiro Delay



    Artist impression and animation of the Shapiro Delay. As the neutron star sends a steady pulse towards the Earth, the passage of its companion white dwarf star warps the space surrounding it, creating the subtle delay in the pulse signal. Credit: BSaxton, NRAO/AUI/NSF

    A kilonova following a long-duration gamma-ray burst at 350 Mpc

    Gigaelectronvolt emission from a compact binary merger


    Click here to return to top of Aricles sub section



    Click here to return to top of page




    PDF's




    Gas Dynamics of the Nickel-56 Decay Heating in Pair-instability Supernovae



    Information on Gas Dynamics of the Nickel-56 Decay Heating in Pair-instability Supernovae


    Identification of strontium in the merger of two neutron stars



    Report on Identification of strontium in the merger of two neutron stars (PDF)

    rach Watson1,2 , Camilla J. Hansen3,∗ , Jonatan Selsing1,2,∗ , Andreas Koch4 , Daniele B. Malesani1,2,5 , Anja C. Andersen1 , Johan P. U. Fynbo1,2 , Almudena Arcones6,7 , Andreas Bauswein7,8 , Stefano Covino9 , Aniello Grado10, Kasper E. Heintz1,2,11, Leslie Hunt12, Chryssa Kouveliotou13,14 Giorgos Leloudas1,5 , Andrew Levan15,16, Paolo Mazzali17,18, Elena Pian19 [See end of report for affiliations]


    The emergence of a new source of X-rays from the binary neutron star merger GW170817



    Information onThe emergence of a new source of X-rays from the binary neutron star merger GW170817 (PDF)


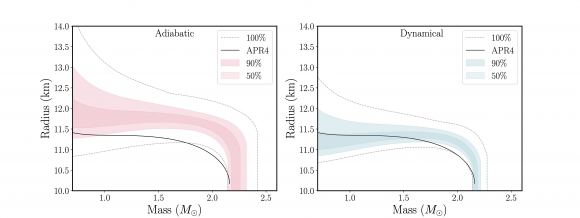
    Impact of Dynamical Tides on the Reconstruction of the Neutron Star Equation of State



    Impact of Dynamical Tides on the Reconstruction of the Neutron Star Equation of State (PDF)

    Thermalization and Annihilation of Dark Matter in Neutron Stars

    Information on Thermalization and Annihilation of Dark Matter in Neutron Stars (PDF)


    Click here to return to top of Aricles sub section



    Click here to return to top of page