
Johns Hopkins University (JHU) continues to pad its space community résumé with their interactive map, “The map of the observable Universe”, that takes viewers on a 13.7-billion-year-old tour of the cosmos from the present to the moments after the Big Bang. While JHU is responsible for creating the site, additional contributions were made by NASA, the European Space Agency, the National Science Foundation, and the Sloan Foundation.
In the decades-long search for extraterrestrial intelligence, there has never been confirmed evidence of an alien signal. There have, however, been a few tantalizing mysteries. Perhaps the greatest of these is known as the Wow Signal.
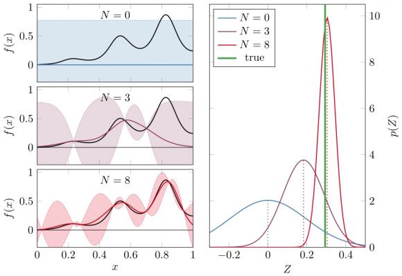
Applying Bayesian statistics to a likely outcome. Credit: Wikipedia
The paper of the famous "Wow!" signal. Credit - Big Ear Radio Observatory and North American AstroPhysical Observatory (NAAPO)
What was the signal received in 1977? Was it a cryptic message from an alien civilization? Support us at:Support us at: Patreon More stories at Follow us on Twitter: @universetoday Like us on Facebook: Instagram - Support us at:Support us at:Patreon Instagram - Team: Fraser Cain - @fcain Jason Harmer - @jasoncharmer Susie Murph - @susiemmurph Brian Koberlein - @briankoberlein Chad Weber - Kevin Gill - @kevinmgill Created by: Fraser Cain and Jason Harmer Edited by: Chad Weber Music: Left Spine Down - “X-Ray” • Left Spine Down -
The DART mission is going to create a meteor shower on Earth, an explanation for the Wow! Signal, big problems with New Glenn, and JUICE completes a flyby of both the Earth and Moon. 👉 Plato Interview: Will PLATO Be The Mission To Finally Find Earth 2.0? 👉 JMG's Wow! Signal Interview: The Wow Signal Potentially Solved with Prof. Abel Mendez 👉 Everyday Astronaut's Blue Origin Tour: First Look Inside Blue Origin's New Glenn Factory w/ Jeff Bezos! Support us at:Support us at:Patreon 📚 Suggest books in the book club: / universe-today-book-club 00:00 Intro 00:14 DART Debris coming to Earth 02:14 Water on Psyche 04:56 Wow! signal 08:09 New Glenn setback 10:14 Star escaping the Milky Way 11:48 Vote results 12:33 JUICE flyby 14:07 Black hole feast 16:02 Get ready for Polaris Dawn launch 18:13 Even more space news 18:50 Plato mission Host: Fraser Cain Producer: Anton Pozdnyakov Editing: Artem Pozdnyakov 📰 EMAIL NEWSLETTER Read by 70,000 people every Friday. Written by Fraser. No ads. Subscribe Free: 🎧 PODCASTS Universe Today: Astronomy Cast: 🤳 OTHER SOCIAL MEDIA Frasiser Cain's Twitter: Universetoday's Twitter: Facebook: Instagram: Twitch: Mastodon: astrodon.social/@fcain 📩 CONTACT FRASER CONTACT FRASER: via Email: ⚖️ LICENSE Creative Commons Attribution 4.0 International (CC BY 4.0) You are free to use my work for any purpose you like, just mention me as the source and link back to this video.
The Wow! Signal was a radio signal detected in 1977 that remains the most compelling candidate for an alien radio transmission ever received. 45 years later, and after dozens of failed hours spent trying to catch it again, can we conclude the Wow signal was bogus? Join us today as we discuss a new research paper from the Cool Worlds Lab that explores this question and everything Wow. Written & presented by Prof David Kipping Support our research program: Get Stash here! THANK-YOU to our supporters D. Smith, M. Sloan, C. Bottaccini, D. Daughaday, A. Jones, S. Brownlee, N. Kildal, Z. Star, E. West, T. Zajonc, C. Wolfred, L. Skov, G. Benson, A. De Vaal, M. Elliott, B. Daniluk, M. Forbes, S. Vystoropskyi, S. Lee, Z. Danielson, C. Fitzgerald, C. Souter, M. Gillette, T. Jeffcoat, H. Jensen, J. Rockett, N. Fredrickson, D. Holland, E. Hanway, D. Murphree, S. Hannum, T. Donkin, K. Myers, A. Schoen, K. Dabrowski, J. Black, R. Ramezankhani, J. Armstrong, K. Weber, S. Marks, L. Robinson, F. Van Exter, S. Roulier, B. Smith, P. Masterson, R. Sievers, G. Canterbury, J. Kill, J. Cassese, J. Kruger, S. Way, P. Finch, S. Applegate, L. Watson, T. Wheeler, E. Zahnle, N. Gebben, J. Bergman, E. Dessoi, J. Alexander, C. Macdonald, M. Hedlund, P. Kaup, C. Hays, S. Krasner, W. Evans, D. Bansal, J. Curtin, J. Sturm, RAND Corp., I. Attard, M. Donovan, N. Corwin & M. Mangione. ::References:: ► Kipping, D. & Gray, R. (2022), "Could the “Wow” signal have originated from a stochastic repeating beacon?", MNRAS, in review ► Gray R. H., 1994, Icar, 112, 485. doi:10.1006/icar.1994.1199 ► Gray R. H., Marvel K. B., 2001, ApJ, 546, 1171 doi:10.1086/318272 ► Gray R. H., Ellingsen S., 2002, ApJ, 578, 967. doi:10.1086/342646 ► Harp G. R., Gray R. H., Richards J., Shostak G. S., Tarter J. C., 2020, AJ, 160, 162. doi:10.3847/1538-3881/aba58f ::Music:: Music licensed by SoundStripe.com (SS) [shorturl.at/ptBHI], or via Creative Commons (CC) Attribution License or with permission from the artist ► Brad Hill - A Slowly Lifting Fog (0:00) ► Chris Zabriskie - Cylinder Four (2:38) ► Falls - Ripley (4:41) ► Falls - Life in Binary (8:34) ► Brad Hill - There Is but One Good (13:04) ► Brad Hill - Fragmented (17:17) ► Brad Hill - There is but One Good (18:48) ► Chris Zabriskie - Neptune 1 (19:31) ► Joachim Heinrich - Y (23:51) ► Brad Hill - Downcast Spirit (26:12) ::Film/TV clips used:: ► Agora (2009) Focus Features International ► Contact (1997) Warner Bros. ► Independence Day (1996) 20th Century Fox ::Chapters:: 00:00 Introduction 02:51 Four Facts 07:15 False Positives? 08:15 Four Unknowns 12:06 Black Swans 13:54 Observatory Emulation 16:01 Hypothetical Signals 18:51 Big Ear Results 19:52 Multi-Observatory Results 22:43 Wow's Properties 24:49 Robert Gray 26:12 Outro and credits #WowSignal #AreWeAlone #CoolWorlds
<>
May 25, 2022 The WOW signal has been tracked to a sun that is almost precisely like ours. But is this new discovery "NOT ALIENS" like everything else? What makes this signal so compelling? #space #nasa #aliens Support my channel! on Patreon If you want to reserve a pair of ANGRY SUNGLASSES, please send $20 US, Australian or Canadian to: The FINAL price is $40 US plus shipping"> Note: Merch now available directly in my channel! New paper on the intriguing origin of the WOW signal
May 21, 2022 🌍 Title: THE WOW SIGNAL 🌍 Description: On a late summer evening in 1977, Ohio radio astronomers discovered a strong, interstellar signal that is believed by many to be the best evidence of communication from an extraterrestrial civilization. #documentary #space #sciencefiction Director: Bob Dawson Cast: Jerry Ehman,Karen O'Neil, Seth Shostak Year of production: 2017 🔴 Please leave us a subscription here and activate the bell: 🌍 Check our DOCU-CHANNEL: Every week a new breathtaking documentary about the most remote places in the world and their rarest animal inhabitants. More english titles: EMBRYO: HUMAN EXPERIMENT THE DISSAPEARANCE OF FLIGHT 412 THE BONE BOX ALIEN CREATURE: DEATH IS NO ESCAPE: HANGAR 18: FIRST SPACESHIP ON VENUS: ....................................................................................... ► For business requests please contact: ATTENTION: All of the films uploaded are legally licensed, and we have the YouTube rights for specific territories. Any copyright inquiries should be sent to
Dec 18, 2019 An exploration of the Wow! Signal, picked up at the Big Ear radio telescope in 1977. This signal remains unexplained to this day, and represents the best candidate we've ever detected of a signal of intelligent alien origin. The Wow! Signal with Discoverer Dr. Jerry Ehman The Big Ear Wow! Signal (30th Anniversary Report) SETI in the 1970s The Elusive Wow: Searching for Extraterrestrial Intelligence Robert H. Gray Supermind by JMG Patreon: Want to support the channel? Follow us at other places! Website: Twitter: Instagram: Music featured on Event Horizon Stellardrone Bandcamp Miguel Johnson Leerosevere bandcamp Aeriumambient Bandcamp
Has the source of the Wow! Signal been Discovered? Did it come from a twin of our Sun? Alberto Caballero has a new paper which works to determine the source of the wow signal. With the most likely source being from a star system similar to ours. Watch a new video on the source of the Wow! Signal and subscribe to to The Exoplanet's Channel: An approximation to determine the source of the WOW! Signal In this paper it is analysed which of the thousands of stars in the WOW! Signal region could have the highest chance of being the real source of the signal, providing that it came from a star system similar to ours. An approximation to determine the source of the WOW! Signal (PDF) Estimating the prevalence of malicious extraterrestrial civilizations (PDF) 00:00:00 Intro 00:00:33 Bio 00:01:20 Source of the Wow Signal 00:03:36 Sunlike star? 00:08:40 How far away the nearest Alien Civlization should be 00:12:14 Radio astronomy is the best chance… 00:15:25 Water hole frequency 00:18:51 How radio SETI works 00:25:12 Sending METI signals 00:33:11 Malicious alien civilizations 00:38:38 Machine civilizations Patreon: Want to support the channel? Follow us at other places! Website: Twitter: Instagram: Youtube Membership Podcast: Apple: More JMG Want to support the channel? : Patreon Follow us at other places! @JMGEventHorizon Music featured on Event Horizon Stellardrone Bandcamp Miguel Johnson Leerosevere bandcamp Aeriumambient Bandcamp FOOTAGE: NASA ESA/Hubble ESO - M.Kornmesser ESO - L.Calcada ESO - Jose Francisco Salgado (josefrancisco.org) NAOJ University of Warwick Goddard Visualization Studio Langley Research Center Pixabay #wowsignal
If you like science, support the SETI Institute! We're a non-profit research institution whose focus is understanding the nature and origins of life in the universe. Donate here: Learn more about the SETI Institute and stay up-to-date on awesome science: - Subscribe to our YouTube channel at - Watch our streams over on Twitch at - Listen to our podcast, Big Picture Science - Subscribe to our newsletter - Buy merchandise from Chop Shop Don't forget to like and subscribe! Ring the bell for notifications of when we go live. #SETITalks #megastructure #exoplanet